电脑桌面
添加小米粒文库到电脑桌面
安装后可以在桌面快捷访问

入学复习题专升本数学部分VIP免费

入学复习题专升本数学部分_第1页
1/12
入学复习题专升本数学部分_第2页
2/12
入学复习题专升本数学部分_第3页
3/12
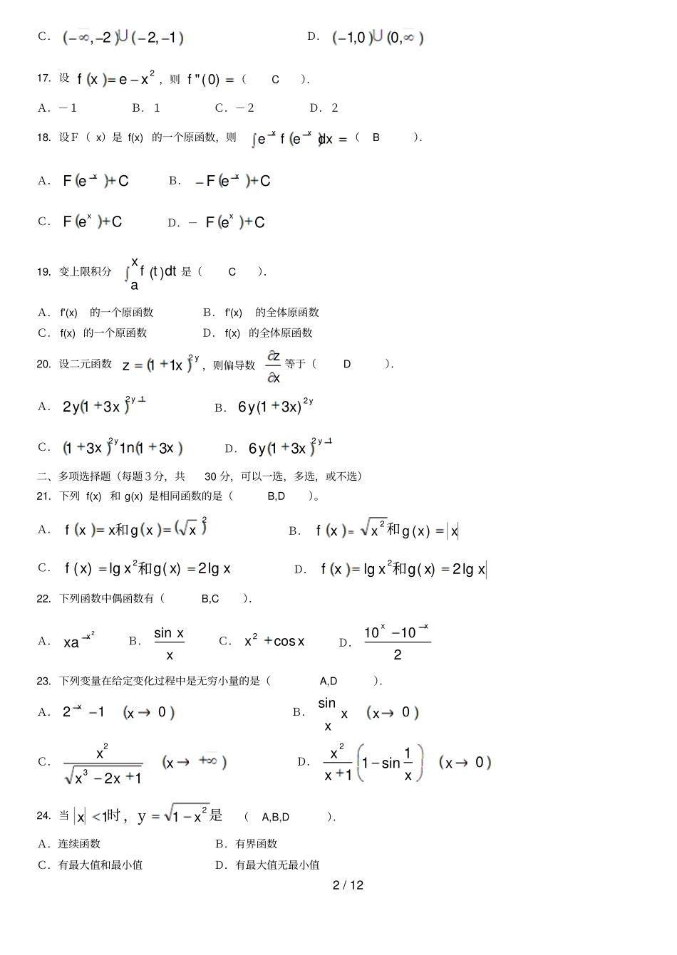
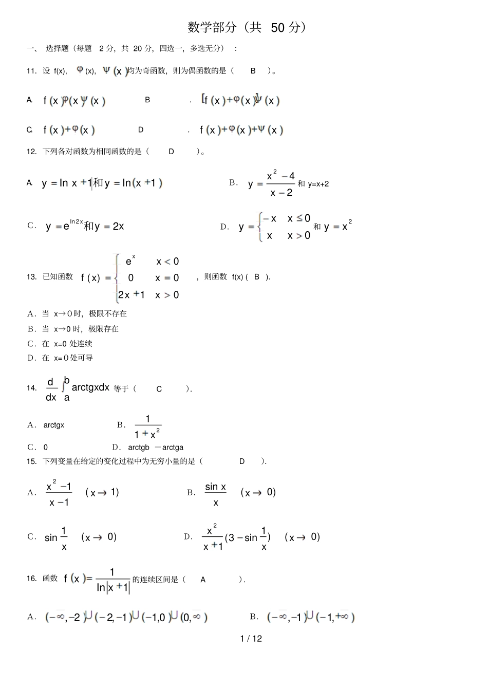
1/12数学部分(共50分)一、选择题(每题2分,共20分,四选一,多选无分):11.设f(x),(x),x均为奇函数,则为偶函数的是(B)。A.xxxfB.xxxfC.xxfD.xxxf12.下列各对函数为相同函数的是(D)。A.11xInyxIny和B.242xxy和y=x+2C.xyeyxIn22和D.00xxxxy和2xy13.已知函数012000)(xxxxexfx,则函数f(x)(B).A.当x→0时,极限不存在B.当x→0时,极限存在C.在x=0处连续D.在x=0处可导14.arctgxdxabdxd等于(C).A.arctgxB.211xC.0D.arctgb-arctga15.下列变量在给定的变化过程中为无穷小量的是(D).A.)1(112xxxB.)0(sinxxxC.)0(1sinxxD.)0()1sin3(12xxxx16.函数11xInxf的连续区间是(A).A.,00,11,22,B.,11,2/12C.1,22,D.,00,117.设2xexf,则)0("f(C).A.-1B.1C.-2D.218.设F(x)是f(x)的一个原函数,则dxefexx(B).A.CeFxB.CeFxC.CeFxD.-CeFx19.变上限积分dttfax)(是(C).A.f'(x)的一个原函数B.f'(x)的全体原函数C.f(x)的一个原函数D.f(x)的全体原函数20.设二元函数yxz211,则偏导数xz等于(D).A.12312yxyB.yxy2)31(6C.xnxy311312D.12316yxy二、多项选择题(每题3分,共30分,可以一选,多选,或不选)21.下列f(x)和g(x)是相同函数的是(B,D)。A.2xxgxxf和B.xf=xxgx)(2和C.xxgxxflg2)(lg)(2和D.xxgxxflg2)(lg2和22.下列函数中偶函数有(B,C).A.2xxaB.xxsinC.xxcos2D.21010xx23.下列变量在给定变化过程中是无穷小量的是(A,D).A.012xxB.0sinxxxC.xxxx1232D.01sin112xxxx24.当是时211x,yx(A,B,D).A.连续函数B.有界函数C.有最大值和最小值D.有最大值无最小值3/1225.若,limAaxafxfaxA为常数,则有(A,B,C,D).A.f(x)在点x=a处连续B.f(x)在点x=a处可导C.xfaxlim存在D.f(x)-f(a)=A(x-a)+o(x-a)26.设对于任意x,都有xfxf)(,00',0'xfkxf则(B)。A.kB.-kC.k1D.k127.下列求极限问题不能使用罗彼塔法则的是(A,C)。A.xxxxsin1sin20limB.arctgxxx2limC.xinxxxxxsinlimD.xxxk1lim28.函数f(x)在点x=x0的某一邻域有定义,已知f'(x0)=0且f"(x0)=0,则在点x=x0处,f(x)(C,D).A.必有极值B.必有拐点C.可能有极值也可能没有极值D.可能有拐点也可能没有拐点29.在区间(a,b)内,如果f'(x)=x',则一定有(B,D).A.xxfB.Cxxf)(C.')(')(dxxdxxfD.)()(xdxdf30.函数)(1yxInz的定义域是(D).A.x+y≠0B.x+y>0C.x+y≠1D.x+y>0且x+y≠1数学部分(共50分)一、选择题(每题2分共20分,四选一,多选无分)11.下列函数中为奇函数的是(C).A.3cosxyB.xxysin4/12C.2xxeeyD.32xxy12.以下各对函数是相同函数的有(B).A.xxgxxf)()(和B.xxgxxfcossin1)(2和C.1)()(xgxxxf和D.2222)(2)(xxxxxgxxf和13.当x比较是与时xxx,)2sin(02(D).A.较高阶的无穷小量B.较低阶的无穷小量C.等价的无穷小量D.同阶的无穷小量14.若下列各极限都存在,其中不成立的是(C).A.0'0lim0fxfxfxB.000'lim0xfxxxfxfxxC.)(')()2(lim0afhafhafhD.)(')()(0000limxfxxxfxfx15.下列极限计算正确的是(D).A.exxx1041limB.410)41(limexxxC.41041limexxxD.411041limexxx16.设)0(',10021fxxxxxf则(B).A.100B.100!C.-100!D.-10017.极限320sin0limxdttxx=(B).A.41B.31C.21D.118.在区间(a,b)内如果f'(x)=g'(x),则下列各式一定成立的是(D).A.xgxfB.1xgxf5/12C.''dxxgdxxfD.dxxgdxxf''19.若dxxxfCxFdxxfcossin,)(则(D).A.F(sinx)+CB.-F(sinx)+CC.F(cosx)+CD.-F(cosx)+C20.设二元函数xzxzxzy的偏导数对则,312(D).A.12)31(2yxyB.yxy2)31(6C.xInxy31312D.12)31(6yxy二、多项选择题(每题3分共30分,可以一选,多选,全选或不选)21.设集合31,3,1,4,3,2,bBaA则当31,ba取(B,C,D,)何值时,有54321,,,,BAA.2,131baB.2,531baC.5,131baD.5,531ba22.下列函数中奇函数有(A,B,C,D,).A.xxB.xxsin2C.11xxaaD.xxa1log223....

1、当您付费下载文档后,您只拥有了使用权限,并不意味着购买了版权,文档只能用于自身使用,不得用于其他商业用途(如 [转卖]进行直接盈利或[编辑后售卖]进行间接盈利)。
2、本站所有内容均由合作方或网友上传,本站不对文档的完整性、权威性及其观点立场正确性做任何保证或承诺!文档内容仅供研究参考,付费前请自行鉴别。
3、如文档内容存在违规,或者侵犯商业秘密、侵犯著作权等,请点击“违规举报”。

碎片内容

入学复习题专升本数学部分

您可能关注的文档

确认删除?
VIP
微信客服
  • 扫码咨询
会员Q群
  • 会员专属群点击这里加入QQ群
客服邮箱
回到顶部