电脑桌面
添加小米粒文库到电脑桌面
安装后可以在桌面快捷访问

高三数学高考(理)总复习系列课件:规范答题 3人教大纲版 课件VIP免费

高三数学高考(理)总复习系列课件:规范答题 3人教大纲版 课件_第1页
1/5
高三数学高考(理)总复习系列课件:规范答题 3人教大纲版 课件_第2页
2/5
高三数学高考(理)总复习系列课件:规范答题 3人教大纲版 课件_第3页
3/5
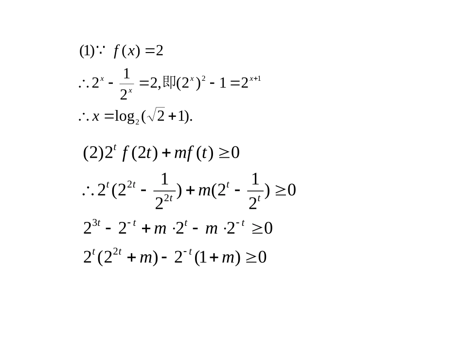
规范答题3注重表达式及结果的化简考题再现已知函数f(x)=(1)若f(x)=2,求x的值;(2)若2tf(2t)+mf(t)≥0对于t∈[1,2]恒成立,求实数m的取值范围.学生作答解由题意得.212||xx0,00,2120,212)(xxxxfxxxx).12(log21)2(,22122)()1(212xxfxxxx即0)1(2)2(2022220)212()212(20)()2(2)2(2322mmmmmtmftfttttttttttttt规范解答解;212)(,0xxxfx时当0,00,212)(.0)(,0;022212)(,0xxxfxfxxfxxxxxxx时当时当).21(log,02.212,01222,2212)1(22xxxxxxx解得即由条件可知),5[].5,17[)21(],2,1[).12(,012).12()12(02122122,]2,1[)2(2224222的取值范围是即时当mtmmmttttttttttt老师忠告(1)解答数学题时,若能及时对表达式进行化简,会使运算过程变的简单且正确率高,反之冗长的表达式不仅书写麻烦,且给考生增加心理上的压力;运算结果不注重化简更是直接丢分.(2)该生在求f(x)解析式时,当x<0时,f(x)解析式化简不彻底,使进一步解答时显得逻辑上存在漏洞.(3)对(2)化简变形的方向性不明确造成变形无法进行,反映出平时训练时对步骤的严谨性要求不够,对此类问题的通解通法掌握不好.返回

1、当您付费下载文档后,您只拥有了使用权限,并不意味着购买了版权,文档只能用于自身使用,不得用于其他商业用途(如 [转卖]进行直接盈利或[编辑后售卖]进行间接盈利)。
2、本站所有内容均由合作方或网友上传,本站不对文档的完整性、权威性及其观点立场正确性做任何保证或承诺!文档内容仅供研究参考,付费前请自行鉴别。
3、如文档内容存在违规,或者侵犯商业秘密、侵犯著作权等,请点击“违规举报”。

碎片内容

高三数学高考(理)总复习系列课件:规范答题 3人教大纲版 课件

确认删除?
VIP
微信客服
  • 扫码咨询
会员Q群
  • 会员专属群点击这里加入QQ群
客服邮箱
回到顶部