电脑桌面
添加小米粒文库到电脑桌面
安装后可以在桌面快捷访问

高考数学总复习 3-4 定积分与微积分基本定理(理)课件 新人教B版 课件VIP免费

高考数学总复习 3-4 定积分与微积分基本定理(理)课件 新人教B版 课件高考数学总复习 3-4 定积分与微积分基本定理(理)课件 新人教B版 课件高考数学总复习 3-4 定积分与微积分基本定理(理)课件 新人教B版 课件高考数学总复习 3-4 定积分与微积分基本定理(理)课件 新人教B版 课件高考数学总复习 3-4 定积分与微积分基本定理(理)课件 新人教B版 课件
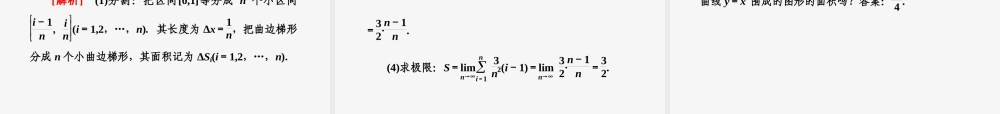
第 四 节 定积分与微积分基本定理 ( 理 ) 重点难点 重点:了解定积分的概念,能用定义法求简单的定积分,用微积分基本定理求简单的定积分. 难点:用定义求定积分 知识归纳 1.定积分的定义 如果函数 f(x)在区间[a, b]上连续,用分点 a=x0

1、当您付费下载文档后,您只拥有了使用权限,并不意味着购买了版权,文档只能用于自身使用,不得用于其他商业用途(如 [转卖]进行直接盈利或[编辑后售卖]进行间接盈利)。
2、本站所有内容均由合作方或网友上传,本站不对文档的完整性、权威性及其观点立场正确性做任何保证或承诺!文档内容仅供研究参考,付费前请自行鉴别。
3、如文档内容存在违规,或者侵犯商业秘密、侵犯著作权等,请点击“违规举报”。

碎片内容

高考数学总复习 3-4 定积分与微积分基本定理(理)课件 新人教B版 课件

您可能关注的文档

起跑线书城+ 关注
实名认证
内容提供者

热爱教学事业,对互联网知识分享很感兴趣

相关文档

确认删除?
微信客服
  • 扫码咨询
会员Q群
  • 会员专属群点击这里加入QQ群