电脑桌面
添加小米粒文库到电脑桌面
安装后可以在桌面快捷访问

吉林建筑大学土力学课后答案精解VIP免费

吉林建筑大学土力学课后答案精解_第1页
1/16
吉林建筑大学土力学课后答案精解_第2页
2/16
吉林建筑大学土力学课后答案精解_第3页
3/16
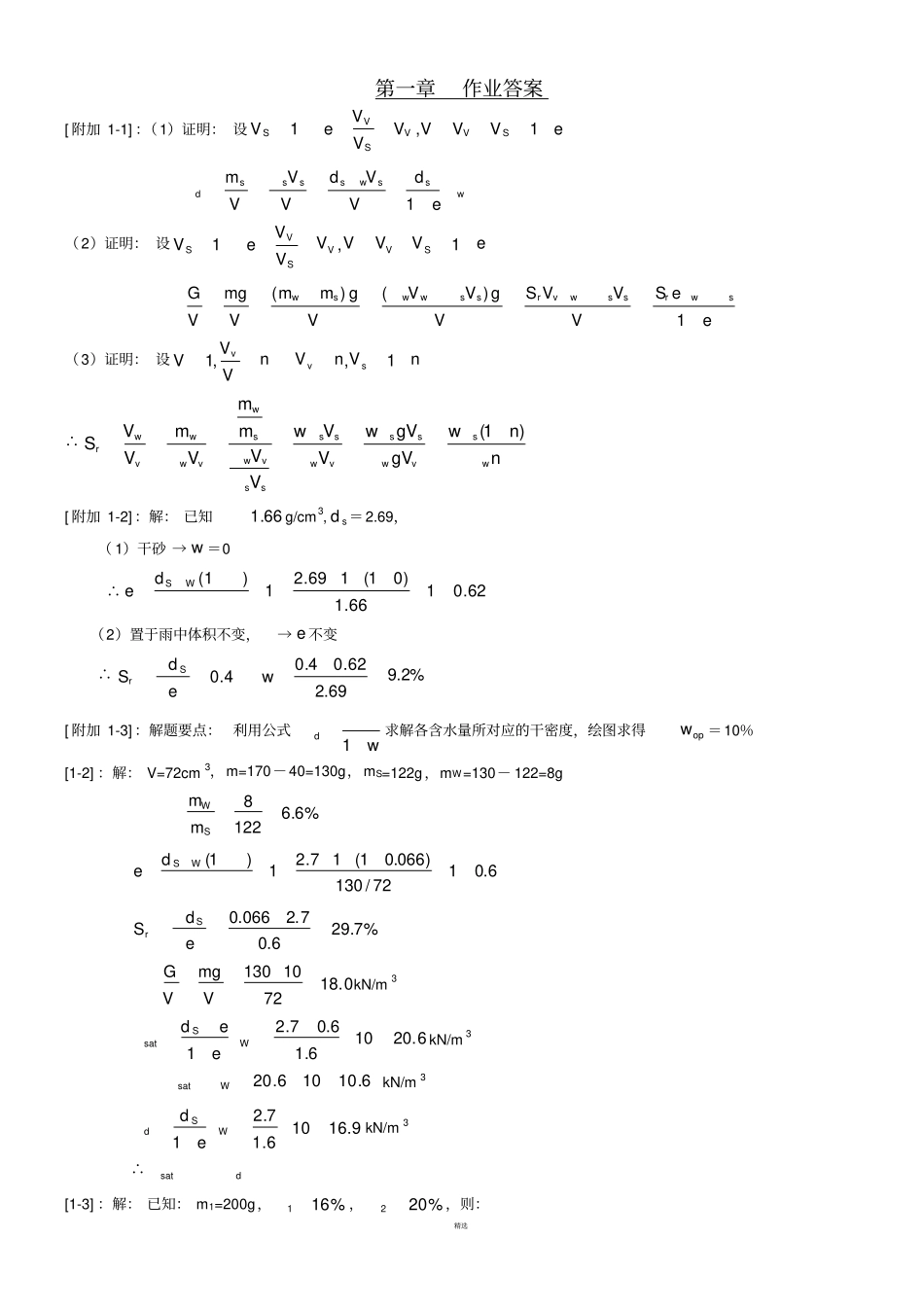
精选吉林建筑大学土力学复习资料第一章作业相关说明:(1)公式证明时不允许用推导公式!(2)作业必须抄题,有附图的应将图画上,同时,不允许徒手画图。(3)解题有必要的步骤,解题过程中公式一定要写全,推导公式无需证明,可以直接使用![附加 1-1]证明下列换算公式:(1)wsded1;(2)eeSswr1;(3)nnwSwsr)1([附加 1-2]某干砂试样=1.66 g/ cm3,sd =2.69,置于雨中,若砂样体积不变,饱和度增至 40%时,此砂在雨中的含水量w 为多少?[附加 1-3]将土以不同含水量配制成试样,用标准的夯击能将土样击实, 测得其密度,得数据如下表:w (%)17.2 15.2 12.2 10.0 8.8 7.4 ( g/ cm3)2.06 2.10 2.16 2.13 2.03 1.89 已知土粒比重sd =2.65,试求最优含水量opw 。(要求:绘制w ~d 曲线时,必须采用方格纸)1-2 某地基土层,用体积为 72cm3 的环刀取样,测得环刀加湿土重170g,环刀重 40g,烘干后土重 122g,土粒相对密度为2.70,问该土样的 w、 e、rs 、、d 、sat 和各为多少?并比较各种重度的大小。1-3 一土样重 200g,已知含水率为 16%,若要制备含水率为20%的土样,需加多少水?加水后土样重量为多少?1-4 某土样孔隙体积等于土颗粒体积,试求孔隙比e;若土粒相对密度66.2sd,试求干密度d ;若孔隙被水充满,试求密度与含水率 w 。1-5 已知某土样土粒相对密度为2.72,孔隙比为 0.95,饱和度为 0.37。若孔隙比保持不变,将土样的饱和度提高到0.9,试求每 1m3 土应加多少水?1-6 从甲、乙两地粘性土中各取出土样进行稠度试验。两土样液限、塑性都相同,%40Lw,%25Pw。但甲地土的天然含水量%45w,而乙地的%20w。问两地的液性指数LI 各为多少?处于何种状态?按PI 分类时,该土的名称是什么?试说明哪一地区的土较适宜于用作天然地基?1-7某砂土土样的密度为1.77g/cm3,含水率为9.8%,土粒相对密度为2.67,测得最小孔隙比为 0.461,最大孔隙比为 0.943,试求孔隙比 e和相对密度rD ,并确定该砂土的密实度。1-8 用来修建土堤的土料,天然密度=1.92g/cm3,含水率%20w,土粒相对密度7.2sd。现要修建一压实干密度d =1.70g/cm3,体积为 80000m3 的土堤,求修建土堤所须开挖的土料的体积。精选第一章作业答案[ 附加 1-1] :(1)证明: 设eVVVVVVeVSVVSVS1,1wsswssssdedVVdVVVm1(2)证明: 设eVVVVVVeVSVVSVS1,1VgVVVgmmVmgVGsswwsw)()(eeSVVVSswrsswvr1(3)证明: 设n...

1、当您付费下载文档后,您只拥有了使用权限,并不意味着购买了版权,文档只能用于自身使用,不得用于其他商业用途(如 [转卖]进行直接盈利或[编辑后售卖]进行间接盈利)。
2、本站所有内容均由合作方或网友上传,本站不对文档的完整性、权威性及其观点立场正确性做任何保证或承诺!文档内容仅供研究参考,付费前请自行鉴别。
3、如文档内容存在违规,或者侵犯商业秘密、侵犯著作权等,请点击“违规举报”。

碎片内容

吉林建筑大学土力学课后答案精解

爱的疯狂+ 关注
实名认证
内容提供者

该用户很懒,什么也没介绍

确认删除?
VIP
微信客服
  • 扫码咨询
会员Q群
  • 会员专属群点击这里加入QQ群
客服邮箱
回到顶部