电脑桌面
添加小米粒文库到电脑桌面
安装后可以在桌面快捷访问

八年级数学下册 1.3二次根式的运算(2)课件1 浙教版 课件VIP免费

八年级数学下册 1.3二次根式的运算(2)课件1 浙教版 课件八年级数学下册 1.3二次根式的运算(2)课件1 浙教版 课件八年级数学下册 1.3二次根式的运算(2)课件1 浙教版 课件
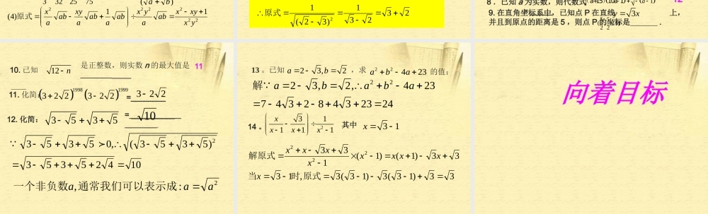
1.3 二次根式的运算( 2 )探索发现:7551482127321234:计算我们可以先把每一个二次根式化简:332323234:二次根式于是我们可以合并同类333)12224(于是我们得到:二次根式的加减运算 :1. 把算式中的每一个二次根式先化成最简二次根式; 2. 合并同类二次根式。1. 计算下列各式:24188)1()223)(22).(3()2233)(3322).(2(252)432(242322)1(原式解19278)33()22()2(22原式272423246)3(原式1325045183(4)( 22 33 6)( 22 33 6)(5)27 7[ ( 7)7]. 7(6)5262352524解原式 64236236662)6332(2)6332()2()6332()2(2解原式777777解原式例题赏识:1. 计算下列各式:50)2131(6)1(102)5.0(0256.0332)2( )()2)(3(bababa)0,0()4(222baabyxbaababaxyabx236252636252366)1(原式754254321332)2(原式bababa)()()3(2原式22222211)4(yxxyxabayxabaabaxyabax原式2. 完成下列问题:22112512125,21,21:.12yyyxyx解由题意可得25253550,250)5)(3(,153)2(yyyyyyyxyxyxyxyxyx原式23231)32(12,1.0)2()1(222原式yxyx巩固提升:____50188.1_____274875.2_____82121423.3______3113112.42(22 3)125.=_____( 235)( 235)6.=__________2241291 2xxx 7.=________8 .已知 a 为实数,则代数式 = _____21a(a+15)10a-19. 在直角坐标系中,已知点 P 在直线 上,并且到原点的距离是 5 ,则点 P 的坐标是 .3yx036243352341024 412)325,25(12n1998199932 232 2353510. 已知是正整数,则实数 n 的最大值是________ 11. 化简:= __________ =________12. 化简:1122310425353)5353(,053532102:,aaa通常我们可以表示成一个非负数23,2ab 22423aba13 。已知,求的值;231111xxxx14 。31x 其中24233482347234,2,3222ababa解33)13(3)13(3,1333)1()1(133222原式时当解原式xxxxxxxxx向着目标

1、当您付费下载文档后,您只拥有了使用权限,并不意味着购买了版权,文档只能用于自身使用,不得用于其他商业用途(如 [转卖]进行直接盈利或[编辑后售卖]进行间接盈利)。
2、本站所有内容均由合作方或网友上传,本站不对文档的完整性、权威性及其观点立场正确性做任何保证或承诺!文档内容仅供研究参考,付费前请自行鉴别。
3、如文档内容存在违规,或者侵犯商业秘密、侵犯著作权等,请点击“违规举报”。

碎片内容

八年级数学下册 1.3二次根式的运算(2)课件1 浙教版 课件

您可能关注的文档

远洋启航书店+ 关注
实名认证
内容提供者

从事历史教学,热爱教育,高度负责。

相关文档

确认删除?
VIP
微信客服
  • 扫码咨询
会员Q群
  • 会员专属群点击这里加入QQ群
客服邮箱
回到顶部