电脑桌面
添加小米粒文库到电脑桌面
安装后可以在桌面快捷访问

FAFU机器学习09-2 Clustering Methods课件VIP免费

FAFU机器学习09-2 Clustering Methods课件FAFU机器学习09-2 Clustering Methods课件FAFU机器学习09-2 Clustering Methods课件FAFU机器学习09-2 Clustering Methods课件FAFU机器学习09-2 Clustering Methods课件
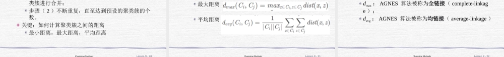
Foundations of Machine LearningClustering Methods (聚类方法)Clustering MethodsLesson 9 - 1Clustering MethodsPartitional Methods (基于划分的方法), prototype-based clustering (基于原型的聚类): K-meansHierarchical Clustering (层次聚类)Density-based Clustering (密度聚类)Clustering MethodsLesson 9 - 2K-means algorithms ( k 均值算法)Center-basedA cluster is a set of objects such that an object in a cluster is closer (more similar) to the “center” of a cluster, than to the center of any other clusterThe center of a cluster is called centroidEach point is assigned to the cluster with the closest centroidThe number of clusters usually should be specifiedClustering MethodsLesson 9 - 3K-means algorithms 基本步骤Partition {x1,…, xn} into K clusters ( K is predefined )InitializationSpecify the initial cluster centers (centroids)Iteration until no changeFor each object xi (Cluster Assignment )Calculate the distances between xi and the K centroids(Re)assign xi to the cluster whose centroid is the closest to xiUpdate the cluster centroids based on current assignment (Update Cluster Centroid)Clustering MethodsLesson 9 - 4K-means: InitializationClustering MethodsLesson 9 - 5K-means Clustering: Cluster AssignmentClustering MethodsLesson 9 - 6K-means Clustering: Update Cluster CentroidClustering MethodsLesson 9 - 7Sum of Squared Error (SSE)K-means 算法的优化目标:误差平方和Suppose the centroid of cluster Ci is ui For each object x in Ci, compute the squared error between x and the centroid uiSum up the error of all the objectsClustering MethodsLesson 9 - 8K-means 算法伪代码Clustering MethodsLesson 9 - 9Comments on the K-Means MethodStrengthEfficient: O(tkn), where n is # objects, k is # clusters, and t is # iterations. Normally, k, t <...

1、当您付费下载文档后,您只拥有了使用权限,并不意味着购买了版权,文档只能用于自身使用,不得用于其他商业用途(如 [转卖]进行直接盈利或[编辑后售卖]进行间接盈利)。
2、本站所有内容均由合作方或网友上传,本站不对文档的完整性、权威性及其观点立场正确性做任何保证或承诺!文档内容仅供研究参考,付费前请自行鉴别。
3、如文档内容存在违规,或者侵犯商业秘密、侵犯著作权等,请点击“违规举报”。

碎片内容

FAFU机器学习09-2 Clustering Methods课件

您可能关注的文档

确认删除?
VIP
微信客服
  • 扫码咨询
会员Q群
  • 会员专属群点击这里加入QQ群
客服邮箱
回到顶部