电脑桌面
添加小米粒文库到电脑桌面
安装后可以在桌面快捷访问

圆锥曲线大题有答案VIP免费

圆锥曲线大题有答案_第1页
1/13
圆锥曲线大题有答案_第2页
2/13
圆锥曲线大题有答案_第3页
3/13
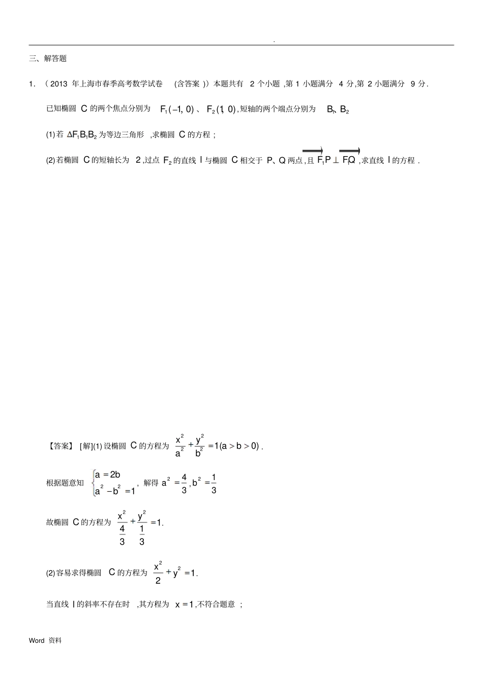
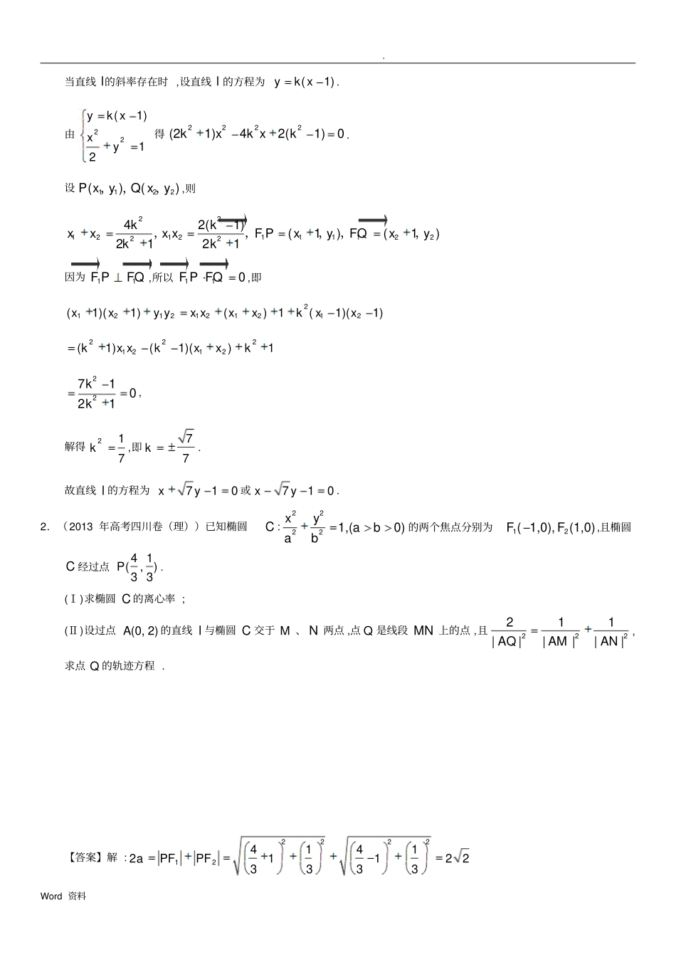
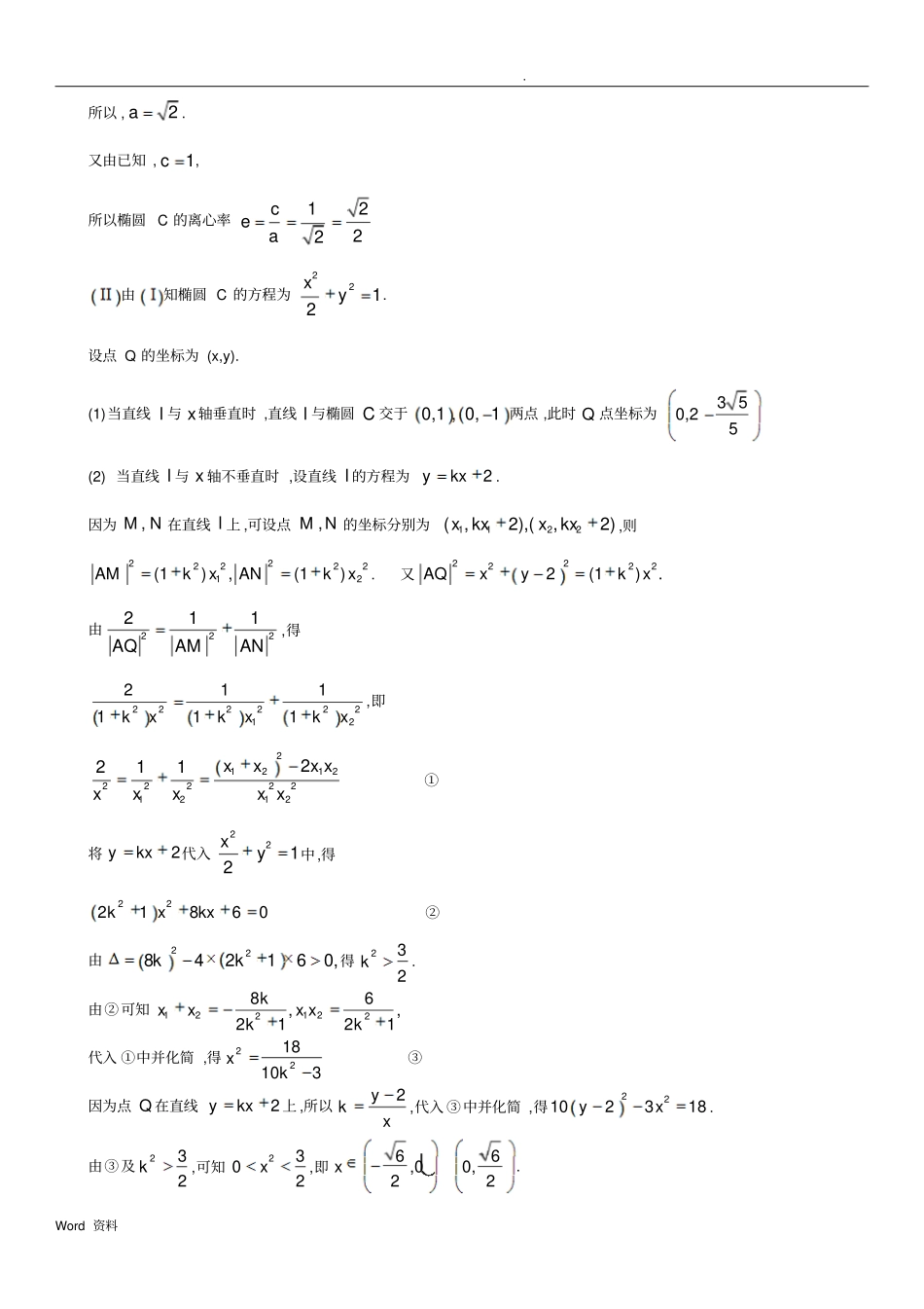
. Word 资料三、解答题1.( 2013 年上海市春季高考数学试卷(含答案 ))本题共有2 个小题 ,第 1 小题满分 4 分,第 2 小题满分 9 分. 已知椭圆 C 的两个焦点分别为1( 1 0)F,、2(1 0)F,,短轴的两个端点分别为12B B、(1)若112F B B 为等边三角形 ,求椭圆 C 的方程 ; (2)若椭圆 C 的短轴长为 2 ,过点2F 的直线 l 与椭圆 C 相交于 P Q、两点 ,且11F PFQ ,求直线 l 的方程 . 【答案】 [解](1) 设椭圆 C 的方程为22221(0)xyabab. 根据题意知2221abab, 解得243a,213b故椭圆 C 的方程为2214133xy. (2)容易求得椭圆 C 的方程为2212xy. 当直线 l 的斜率不存在时,其方程为1x,不符合题意 ; . Word 资料当直线 l的斜率存在时 ,设直线 l 的方程为(1)yk x. 由22(1)12yk xxy得2222(21)42(1)0kxk xk. 设1122()()P x yQ xy, ,,,则2212121111222242(1)(1)(1)2121kkxxx xF PxyFQxykk,,, ,,因为11F PFQ ,所以110F P FQ,即21212121212(1)(1)()1(1)(1)xxy yx xxxkxx2221212(1)(1)()1kx xkxxk2271021kk, 解得217k,即77k. 故直线 l 的方程为710xy或710xy. 2.(2013 年高考四川卷(理))已知椭圆C :22221,(0)xyabab的两个焦点分别为12( 1,0),(1,0)FF,且椭圆C 经过点4 1(,)3 3P. (Ⅰ)求椭圆 C 的离心率 ; (Ⅱ)设过点(0, 2)A的直线 l 与椭圆 C 交于 M 、 N 两点 ,点 Q 是线段 MN 上的点 ,且222211||||||AQAMAN,求点 Q 的轨迹方程 . 【答案】解 :2222124141211223333aPFPF. Word 资料所以 ,2a. 又由已知 ,1c, 所以椭圆 C 的离心率1222cea由知椭圆 C 的方程为2212xy. 设点 Q 的坐标为 (x,y). (1)当直线 l 与 x轴垂直时 ,直线 l 与椭圆 C 交于 0,1 , 0, 1 两点 ,此时 Q 点坐标为3 50,25(2) 当直线 l 与 x 轴不垂直时 ,设直线 l 的方程为2ykx. 因为,M N 在直线 l 上 ,可设点,M N 的坐标分别为1122(,2),(,2)x kxx kx,则22222212(1),(1)AMkxANkx. 又222222(1).AQxykx由222211AQAMAN,得22222212211111kxkxkx,即212122222212122211xxx xxxxx x①将2ykx代入2212xy中,得2221860kxkx②由22842160,kk得232k. 由②可知12122286,,2121kxxx xkk代入 ①中并化简 ,得2218103xk③因为点 Q 在直线2ykx上 ,所以2ykx,代入 ③中并化简 ,得22102318yx. 由③及232k,可知2302x,即66,00,22x....

1、当您付费下载文档后,您只拥有了使用权限,并不意味着购买了版权,文档只能用于自身使用,不得用于其他商业用途(如 [转卖]进行直接盈利或[编辑后售卖]进行间接盈利)。
2、本站所有内容均由合作方或网友上传,本站不对文档的完整性、权威性及其观点立场正确性做任何保证或承诺!文档内容仅供研究参考,付费前请自行鉴别。
3、如文档内容存在违规,或者侵犯商业秘密、侵犯著作权等,请点击“违规举报”。

碎片内容

圆锥曲线大题有答案

确认删除?
VIP
微信客服
  • 扫码咨询
会员Q群
  • 会员专属群点击这里加入QQ群
客服邮箱
回到顶部