电脑桌面
添加小米粒文库到电脑桌面
安装后可以在桌面快捷访问

天津武清区杨村第三中学2018_2019学年高一数学上学期第一次月考试题无答案001VIP免费

天津武清区杨村第三中学2018_2019学年高一数学上学期第一次月考试题无答案001_第1页
1/4
天津武清区杨村第三中学2018_2019学年高一数学上学期第一次月考试题无答案001_第2页
2/4
天津武清区杨村第三中学2018_2019学年高一数学上学期第一次月考试题无答案001_第3页
3/4
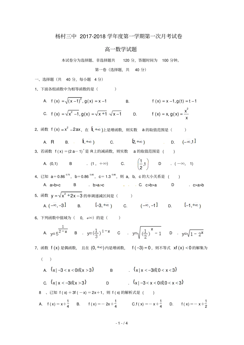
- 1 - / 4 杨村三中 2017-2018 学年度第一学期第一次月考试卷高一数学试题本试卷分为选择题、非选择题共120 分,答题时间为100 分钟。第一卷(选择题,共40 分)一、选择题(共40 分,每小题4 分)1、下面各组函数中为相等函数的是()A. 2( )(1) ,( )1f xxg xx B. ( )1, ( )1f xxg ttC. 2( )1, ( )11f xxg xxx D. 2( ),( )xf xx g xx2、函数axxxf2)(2,在,1上是增函数,则实数a 的取值范围是()A. R B.,1 C.,2 D.1,3、若函数 f ( x) =(2 a- 1)x 是 R上的减函数,则实数a 的取值范围是 ( ) A.(0,1) B.(1 ,+∞) C.1,21 D.( -∞, 1) 4、已知 a=0.860.75 ,b=0.860.85 ,c= 1.30.86,则 a,b,c 的大小关系是 ( ) A.a>b>c B.b>a>c C.c>b>a D.c>a>b 5、函数223yxx的单调递减区间是()A., 3 B.3, C., 1 D.1,6、下列函数中值域为(0,+∞)的是()A. B. C. D.7、函数( )f x 是偶函数, 且在 (0,)内是增函数,( 3)0f,则不等式( )0xf x的解集为()A.| 303xxx或 B.|303x xx或C.|33x xx或 D.| 303xxx或0 8、已知 f ( x) +3f ( -x) =2x+1,则 f ( x) 的解析式是 ( ) A.f ( x) = x+14 B.f ( x) =- 2x+14C.f ( x) =- x+14 D.f ( x)=- x+12- 2 - / 4 9、已知,(1)()(4)2,(1)2xaxfxa xx是 R 上的单调递增函数,则实数a 的取值范围为()A.(1,+∞) B.(1,8 ) C.(4,8 ) D. [4,8 ) 10、关于 x 的方程121ax有解,则 a 的取值范围是 ( ) A .00 二、填空题(共24 分,每小题4 分) 11、设集合 A={ - 2} ,B= { x| ax+ 1=0,a∈R} ,若 A∪B=A,则 a=________. 12、若关于x 的函数f (2 x+3) 的定义域为 { x| -4≤x≤5} ,则函数f ( x-3) 的定义域为________. 13、已知 f (1 +x) =x-2x-1,则 f ( x) 的解析式为 ______________ 14、 (1)210232983( 2.5)()( )4272( )=________ (2)满足16413x的 x 的取值集合是 ________ 15、已知( )yf x 在定义域 ( 1,1)上是减函数,且(1)(21)fafa,则 a 的取值范围是 16、已知函数f ( x) 是定义域在R上的奇函数,当x>0 时, f ( x) =1-2- x,则不等式21)(xf的解集是 ________ ...

1、当您付费下载文档后,您只拥有了使用权限,并不意味着购买了版权,文档只能用于自身使用,不得用于其他商业用途(如 [转卖]进行直接盈利或[编辑后售卖]进行间接盈利)。
2、本站所有内容均由合作方或网友上传,本站不对文档的完整性、权威性及其观点立场正确性做任何保证或承诺!文档内容仅供研究参考,付费前请自行鉴别。
3、如文档内容存在违规,或者侵犯商业秘密、侵犯著作权等,请点击“违规举报”。

碎片内容

天津武清区杨村第三中学2018_2019学年高一数学上学期第一次月考试题无答案001

文库响当当+ 关注
实名认证
内容提供者

该用户很懒,什么也没介绍

确认删除?
VIP
微信客服
  • 扫码咨询
会员Q群
  • 会员专属群点击这里加入QQ群
客服邮箱
回到顶部