电脑桌面
添加小米粒文库到电脑桌面
安装后可以在桌面快捷访问

完整版七年级下册计算题练习VIP免费

完整版七年级下册计算题练习_第1页
1/14
完整版七年级下册计算题练习_第2页
2/14
完整版七年级下册计算题练习_第3页
3/14
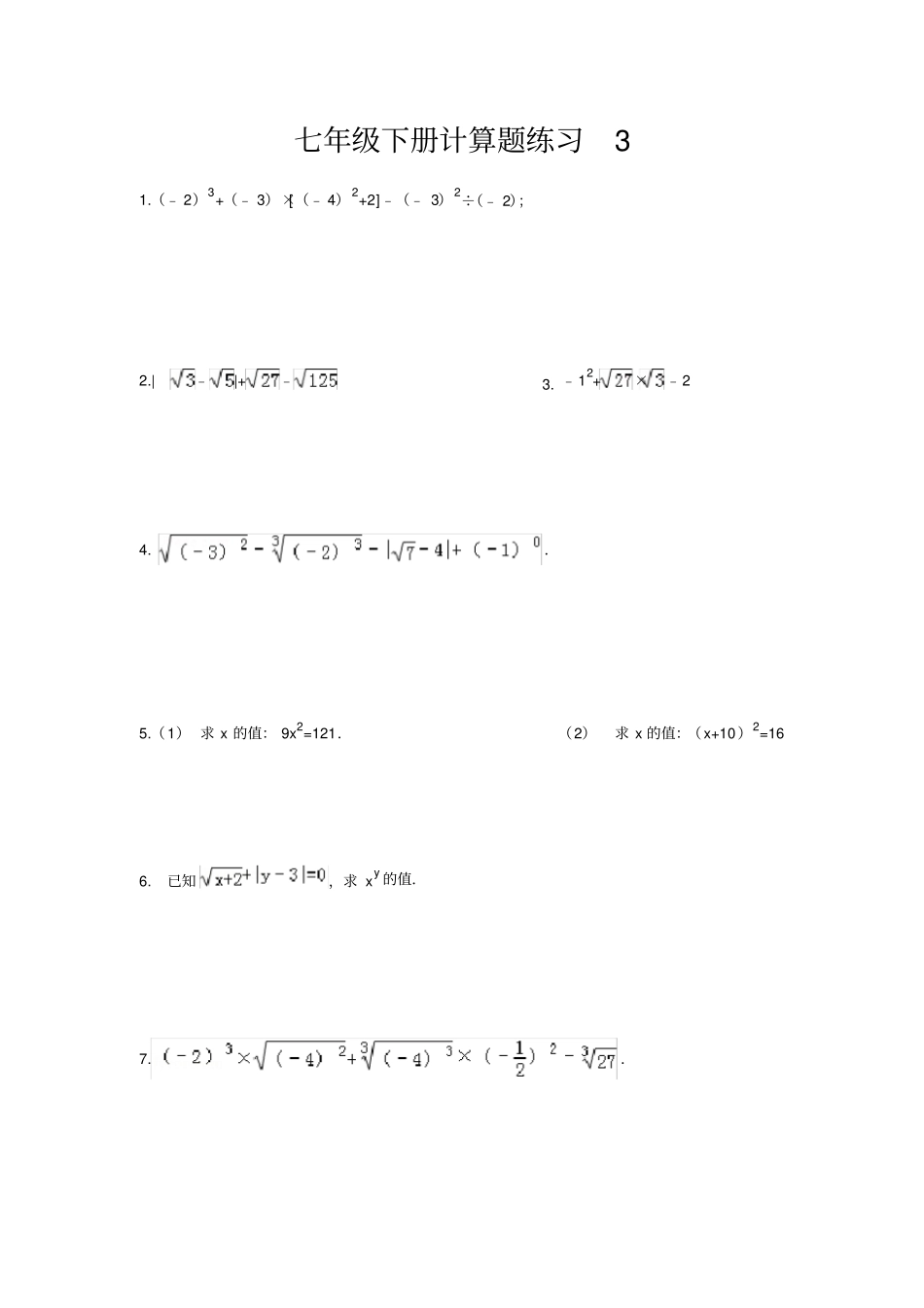
七年级下册计算题练习11、求下列各式的值:( 1);(2);(3)-2、化简 :(1)( 2)3、化简:6221364、求下列各式中的x(每小题 5 分,共 10 分)(3)(4)x212149= 0。4925612109.04532273)(632七年级下册计算题练习21.|﹣2|﹣( 1+) 0+.2.﹣ 12009+4×(﹣ 3) 2+(﹣ 6)÷(﹣ 2)3.4 . ||﹣.5..6.;.9.计算题:.七年级下册计算题练习31.(﹣ 2)3+(﹣ 3)×[(﹣ 4) 2+2]﹣(﹣ 3) 2÷(﹣ 2);2.| ﹣|+﹣3. ﹣12+×﹣24. .5.(1) 求 x 的值: 9x2=121.(2)求 x 的值:(x+10)2=16 6. 已知,求 xy 的值.7..七年级下册计算题练习4七年级下册计算题练习5七年级下册计算题练习6七年级下册计算题练习7七年级下册计算题练习8七年级下册计算题练习9七年级下册计算题练习10七年级下册计算题练习11七年级下册计算题练习12七年级下册计算题练习13七年级下册计算题练习14

1、当您付费下载文档后,您只拥有了使用权限,并不意味着购买了版权,文档只能用于自身使用,不得用于其他商业用途(如 [转卖]进行直接盈利或[编辑后售卖]进行间接盈利)。
2、本站所有内容均由合作方或网友上传,本站不对文档的完整性、权威性及其观点立场正确性做任何保证或承诺!文档内容仅供研究参考,付费前请自行鉴别。
3、如文档内容存在违规,或者侵犯商业秘密、侵犯著作权等,请点击“违规举报”。

碎片内容

完整版七年级下册计算题练习

您可能关注的文档

确认删除?
VIP
微信客服
  • 扫码咨询
会员Q群
  • 会员专属群点击这里加入QQ群
客服邮箱
回到顶部