电脑桌面
添加小米粒文库到电脑桌面
安装后可以在桌面快捷访问

高三数学综合训练考试卷(三)文(PDF)答案VIP免费

高三数学综合训练考试卷(三)文(PDF)答案_第1页
1/5
高三数学综合训练考试卷(三)文(PDF)答案_第2页
2/5
高三数学综合训练考试卷(三)文(PDF)答案_第3页
3/5
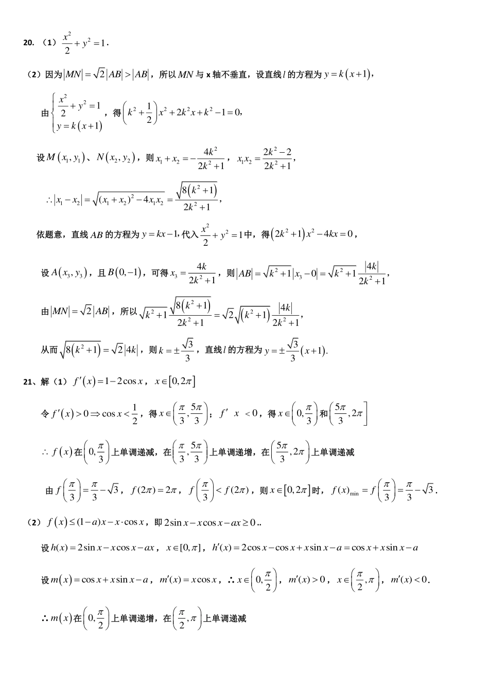
大庆实验中学 2020 届 高三综合训练(三) 数学(文)参考答案 1 2 3 4 5 6 7 8 9 10 11 12 C A A B B B C A D D C D 13、14 14、 2 15、150 16、 3 ,82 17、解(1)依题意3x ,100y ,511420iiix y,52155iix,5180iiixxyy , 5522117500iiiixxyy,计算12211800.9217500niiinniiiixxyyrxxyy , 具有很强的线性相关关系. (2)122114205 3 1008555 9niiiniix ynxybxnx    ,10083124aybx  , 所以 y 关于月份 x 之间的线性回归方程为8124yx . (3)从 4 月份选取的 4 人分别记为1a ,2a ,3a ,4a ,从 5 月份选取的 2 人分别记为1B ,2B . 从这 6 人中任意抽取 2 人进行交规调查包含的基本事件有12,a a,13,a a,14,a a,11,a B,12,a B,23,a a,24,a a,21,a B,22,a B,34,a a,31,a B,32,a B,41,a B,42,a B,12,B B,共 15 个, 其中“抽取的 2 人分别来自两个月份”包含的基本事件为11,a B,12,a B,21,a B,22,a B,31,a B,32,a B,41,a B,42,a B,共 8 个, 设抽取的 2 人分别来自两个月份为事件 A ,则 815P A . 18.解:(1)由( )2cos2sin2cos21f xxxxsin 4cos42 sin 44xxx, 则 f x 的图象向右平移 8 个单位后,再保持纵坐标不变,横坐标变为原来的2 倍, 故可得  2sin 24g xx, 由0, 2x,则32,444x ,则2sin 2,142x ,则  g x 的值域为1, 2 令222242kxk,则388kxk,由0, 2x,则单调递增区间为30, 8 (2)因为 ()22Bg,即可得sin14B,因为0,B,故可得34B. 由1sin2C ,求得6C,故可得12ABC 由正弦定理得 sinsinbcBC,即2 21222c,解得2c ; 又232162sinsinsincoscossin22224ABCBCBC...

1、当您付费下载文档后,您只拥有了使用权限,并不意味着购买了版权,文档只能用于自身使用,不得用于其他商业用途(如 [转卖]进行直接盈利或[编辑后售卖]进行间接盈利)。
2、本站所有内容均由合作方或网友上传,本站不对文档的完整性、权威性及其观点立场正确性做任何保证或承诺!文档内容仅供研究参考,付费前请自行鉴别。
3、如文档内容存在违规,或者侵犯商业秘密、侵犯著作权等,请点击“违规举报”。

碎片内容

高三数学综合训练考试卷(三)文(PDF)答案

星河书苑+ 关注
实名认证
内容提供者

从事历史教学,热爱教育,高度负责。

确认删除?
VIP
微信客服
  • 扫码咨询
会员Q群
  • 会员专属群点击这里加入QQ群
客服邮箱
回到顶部