电脑桌面
添加小米粒文库到电脑桌面
安装后可以在桌面快捷访问

高三数学9月月考考试卷 文(无答案)新人教A版考试卷VIP免费

高三数学9月月考考试卷 文(无答案)新人教A版考试卷_第1页
1/5
高三数学9月月考考试卷 文(无答案)新人教A版考试卷_第2页
2/5
高三数学9月月考考试卷 文(无答案)新人教A版考试卷_第3页
3/5
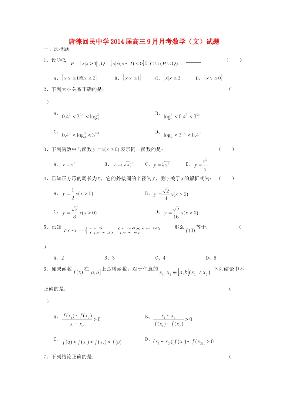
唐徕回民中学 2014 届高三 9 月月考数学(文)试题一、选择题1、设 U=R, ( )A、B、C、D、2、下列大小关系正确的是:( )A、B、C、D、3、下列函数中与函数表示同一函数的是: ( )A、B、C、D、4、已知正方形的周长为 ,它的外接圆的半径为,则关于 的解析式为: ( )A、B、C、D、5、已知 那么等于: ( )A、2B、3C、4D、56、如果函数在上是增函数,对于任意的 下列结论中不正确的是:( )A、B、C、D、7、下列结论正确的是:( )A、偶函数的图象一定与轴相交B、奇函数在处有定义则C、定义域为 R 的增函数一定是奇函数。D、图像过原点的单调函数,一定是奇函数8、有下述说法: 是22ba 充要条件; 是的充要条件; 是的充要条件;其中正确的说法有:A、0 个B、1 个C、2 个D、3 个9、已知命题 P1:函数 在 R 上为增函数,P2:函数在 R 上为减函数,则在命题① ② ③ ④中真命题是:( )A、①③B、②③C、①④D、②④10、建造一个容积为 8,深为 2的长方体无盖水池,如果池底和池壁的造价每平方米分别为 120 元和 80 元,则水池的最低总造价为:( )A、1760 元B、2240 元C、1660 元D、2140 元11、不等式的解集为则函数的图象是:( )12、已知函数满足,且是偶函数。当时,若在区间内函数有 4 个零点,则实数 的取值范围是A、B、C、D、二、填空题13、已知函数在闭区间上有最大值 3,最小值 2,则实数的取值范围是____________14、设( 为虚数单位)则的值为____________________15、若对,有恒成立,则的取值范围是__________16、①②③④都不是偶函数以上命题的否定为真命题的是______________________三、解答题17、在极坐标系中,已知圆 C 经过点,圆心为直线与极轴的交点,求圆 C 的极坐标方程。18、已知函数为偶函数,其定义域是,求的值域。19、将进货单价为 40 元的商品按 50 元一个出售时,能卖出 500 个,已知这种商品每涨价 1元,其销售量就减少 10 个,为得到最大利润。售价应为多少元?最大利润是多少?20、已知求①的最大值 ②的最小值21、设函数① 当时,解不等式 ②若不等式的解集为,求值。22、已知函数① 若曲线相交,且在交点处有相同的切线,求 的值及该切线的方程。② 设函数,当存在最小值时,求其最小值的解析式③ 对②中的,证明:当

1、当您付费下载文档后,您只拥有了使用权限,并不意味着购买了版权,文档只能用于自身使用,不得用于其他商业用途(如 [转卖]进行直接盈利或[编辑后售卖]进行间接盈利)。
2、本站所有内容均由合作方或网友上传,本站不对文档的完整性、权威性及其观点立场正确性做任何保证或承诺!文档内容仅供研究参考,付费前请自行鉴别。
3、如文档内容存在违规,或者侵犯商业秘密、侵犯著作权等,请点击“违规举报”。

碎片内容

高三数学9月月考考试卷 文(无答案)新人教A版考试卷

您可能关注的文档

慧源书店+ 关注
实名认证
内容提供者

从事历史教学,热爱教育,高度负责。

确认删除?
VIP
微信客服
  • 扫码咨询
会员Q群
  • 会员专属群点击这里加入QQ群
客服邮箱
回到顶部