电脑桌面
添加小米粒文库到电脑桌面
安装后可以在桌面快捷访问

陕西省西安市碑林区七年级数学上学期期中模拟试卷(1)考试卷VIP免费

陕西省西安市碑林区七年级数学上学期期中模拟试卷(1)考试卷_第1页
1/7
陕西省西安市碑林区七年级数学上学期期中模拟试卷(1)考试卷_第2页
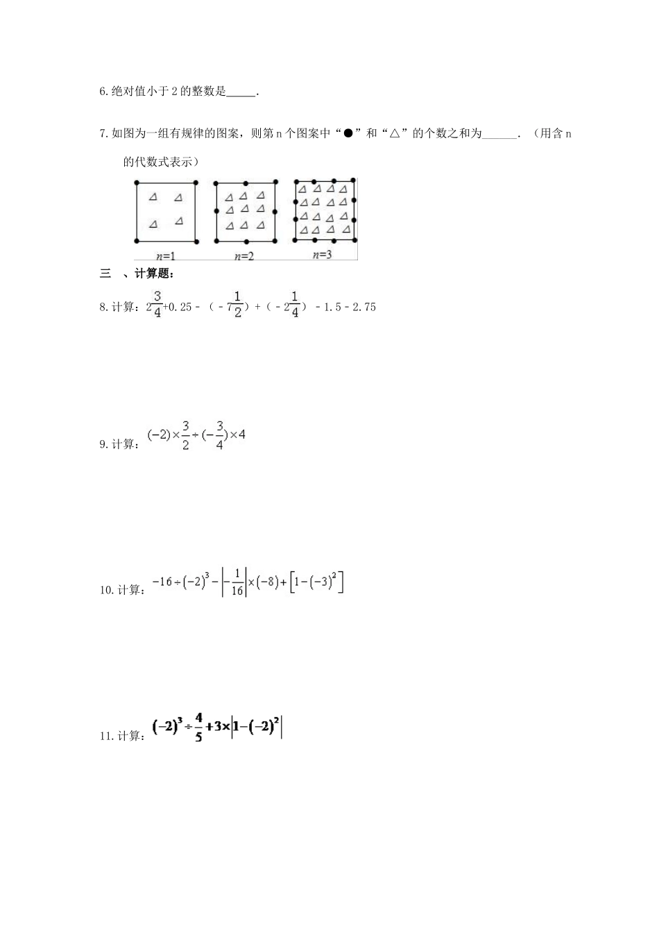
2/7
陕西省西安市碑林区七年级数学上学期期中模拟试卷(1)考试卷_第3页
3/7
陕西省西安市碑林区 2017-2018 学年七年级数学上学期期中模拟试卷(1)一、选择题:1.下列表示东台某天早晨、中午和午夜的温度(单位:℃),则下列说法正确的是 ( ) A.午夜与早晨的温差是11℃ B.中午与午夜的温差是0℃ C.中午与早晨的温差是11℃ D.中午与早晨的温差是3℃2.如图1所示,将一个正四棱锥(底面为正方形,四条侧棱相等)的其中四条边剪开,得到图2,则被剪开的四条边有可能是( )A.PA,PB,AD,BC B.PD,DC,BC,ABC.PA,AD,PC,BC D.PA,PB,PC,AD3.若﹣1.5x2ym﹣1是五次单项式,则m的值为( )A.3 B.4 C.5 D.64.实际测量一座山的高度时,可在若干个观测点中测量每两个相邻可视观测点的相对高度,然后用这些相对高度计算出山的高度.下表是某次测量数据的部分记录(用A-C表示观测点A相对观测点C的高度):A-CC-DE-DF-EG-FB-G90米80米-60米50米-70米40米根据这次测量的数据,可得观测点A相对观测点B的高度是( ) A.210米 B.130米 C.390米 D.-210米5.中国倡导的“一带一路”建设将促进我国与世界各国的互利合作,根据规划,“一带一路”地区覆盖总人口约为4400000000人,这个数用科学记数法表示为( ) A.44×108 B.4.4×109 C.4.4×108 D.4.4×10106.小华有 x 元,小林的钱数是小华的一半还多 2 元,小林的钱数是( )A. B. C. D.7.如图,数轴上的点 A 表示的数是﹣2,将点 A 向右移动 3 个单位长度,得到点 B,则点 B 表示的数是( )A.﹣5 B.0 C.1 D.38.计算(﹣3)×3 的结果是( ) A.﹣9 B.9 C.0 D.﹣69.下列运算中,正确的是( )A.3a+2b=5ab B.2a3+3a2=5a5 C.4a2b﹣3ba2=a2b D.5a2﹣4a2=11.如图,每个图形都由同样大小的矩形按照一定的规律组成,其中第①个图形的面积为6cm2,第②个图形的面积为18cm2,第③个图形的面积为36cm2,…,那么第⑥个图形的面积为( ) A.84cm2 B.90cm2 C.126cm2 D.168cm2二、填空题:2.某通信公司的手机市话费收费标准按原标准每分钟降低a元后,再次下调了20%,现在的收费标准是每分钟b元,则原收费标准是每分钟 元.3.把多项式 3x3y﹣y4﹣5xy3+x2y2+7x4按 y 的降幂排列为 .4.已知|x|=3,y2=4,且 x<y,那么 x+y 的值是 .5.计算:|3.14﹣π|= .6.绝对值小于 2 的整数是 .7.如图为一组有规律的图案,则第 n 个图案中“●”和“△”的个数之和为______.(用含 n的代数式表示) 三、计算题:8.计算:2+0.25﹣(﹣7...

1、当您付费下载文档后,您只拥有了使用权限,并不意味着购买了版权,文档只能用于自身使用,不得用于其他商业用途(如 [转卖]进行直接盈利或[编辑后售卖]进行间接盈利)。
2、本站所有内容均由合作方或网友上传,本站不对文档的完整性、权威性及其观点立场正确性做任何保证或承诺!文档内容仅供研究参考,付费前请自行鉴别。
3、如文档内容存在违规,或者侵犯商业秘密、侵犯著作权等,请点击“违规举报”。

碎片内容

陕西省西安市碑林区七年级数学上学期期中模拟试卷(1)考试卷

您可能关注的文档

慧源书店+ 关注
实名认证
内容提供者

从事历史教学,热爱教育,高度负责。

确认删除?
VIP
微信客服
  • 扫码咨询
会员Q群
  • 会员专属群点击这里加入QQ群
客服邮箱
回到顶部