电脑桌面
添加小米粒文库到电脑桌面
安装后可以在桌面快捷访问

高三数学 午间限时训练1 文(无答案)考试卷VIP免费

高三数学 午间限时训练1 文(无答案)考试卷_第1页
1/5
高三数学 午间限时训练1 文(无答案)考试卷_第2页
2/5
高三数学 午间限时训练1 文(无答案)考试卷_第3页
3/5
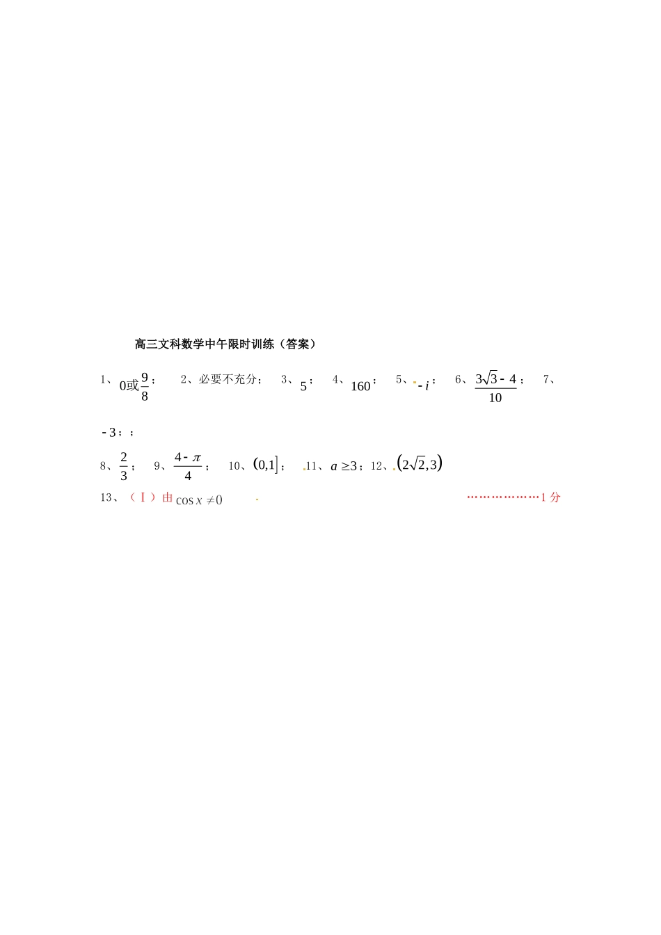
高三文科数学中午限时训练 一、填空题:1、若集合2320Ax axx的子集只有两个,则实数a  ;2、“4 ”是“ tan1  ”的 条件;3、执行如下所示的算法程序,输出的结果为 ;1a 3b While 8a  aab babEnd WhilePrint b4、某个年级有男生 560 人,女生 420 人,用分层抽样的方法从该年级全体学生中抽取一个容量为 280 的样本,则此样本中男生人数为____________;5、已知复数(为虚数单位),计算: ;6、已知(0, )且3cos65(-)= ,则cos = ;7、若 为第三象限角,则22cos2sin1 sin1 cos的值为 ;8、在长为 12cm 的线段 AB 上任取一点 C. 现作一矩形,邻边长分别等于线段 AC,CB 的长 ,则该矩形面积大于 20cm2的概率为 ;9、设不等式组20,20yx,表示平面区域为 D,在区域 D 内随机取一个点,则此点到坐标原点的距离大于 2 的概率是 ;10、函数21ln2yxx的单调递减区间为 ;11 、 若 函 数21( )f xxaxx在1( ,)2  是 增 函 数 , 则 a 的 取 值 范 围 是 ;12、已知定义域为 ( 1,1)的奇函数( )yf x又是减函数,且2(3)(9)0f afa,则实数a 的取值范围为 二、解答题:13、已知函数.(Ⅰ)求函数的定义域;(Ⅱ)若,求的值。14、已知函数( )ln().xf xexm(Ι)设0x  是( )f x 的极值点,求m ,并讨论( )f x 的单调性;(Ⅱ)当2m  时,证明( )0f x 。高三文科数学中午限时训练(答案) 1、908或; 2、必要不充分; 3、5 ; 4、160 ; 5、i ; 6、 3 3410; 7、3;;8、 23; 9、 44; 10、0,1 ; 11、3a  ;12、 2 2,313、(Ⅰ)由 ………………1 分 故0( )()f xf x=0012xx200(1)02xx,综上,当 m≤2 时,( )0f x .

1、当您付费下载文档后,您只拥有了使用权限,并不意味着购买了版权,文档只能用于自身使用,不得用于其他商业用途(如 [转卖]进行直接盈利或[编辑后售卖]进行间接盈利)。
2、本站所有内容均由合作方或网友上传,本站不对文档的完整性、权威性及其观点立场正确性做任何保证或承诺!文档内容仅供研究参考,付费前请自行鉴别。
3、如文档内容存在违规,或者侵犯商业秘密、侵犯著作权等,请点击“违规举报”。

碎片内容

高三数学 午间限时训练1 文(无答案)考试卷

您可能关注的文档

远洋启航书店+ 关注
实名认证
内容提供者

从事历史教学,热爱教育,高度负责。

确认删除?
VIP
微信客服
  • 扫码咨询
会员Q群
  • 会员专属群点击这里加入QQ群
客服邮箱
回到顶部