电脑桌面
添加小米粒文库到电脑桌面
安装后可以在桌面快捷访问

圆锥曲线离心率小结VIP免费

圆锥曲线离心率小结_第1页
1/6
圆锥曲线离心率小结_第2页
2/6
圆锥曲线离心率小结_第3页
3/6
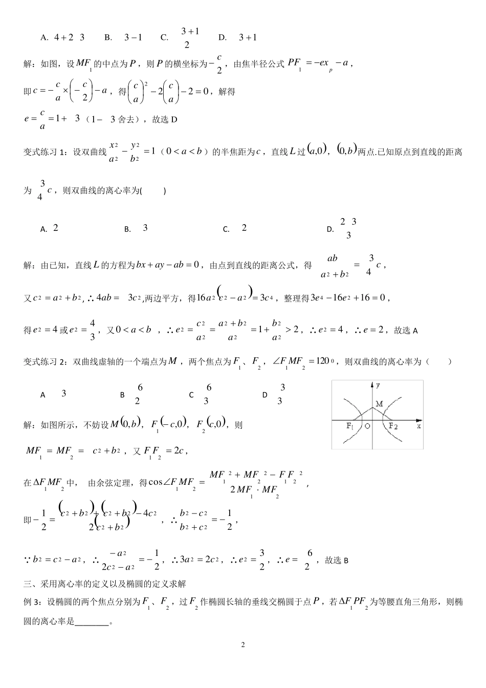
1 高考数学专题复习——求解圆锥曲线离心率及其取值范围 .s椭圆的离心率 10 e,双曲线的离心率1e,抛物线的离心率1e. 一、直接求出a 、c,求解e 已知圆锥曲线的标准方程或a 、c易求时,可利用率心率公式ace 来解决。 例1:已知双曲线1222 yax(0a)的一条准线与抛物线xy62的准线重合,则该双曲线的离心率为( ) A. 23 B. 23 C. 26 D. 332 解:抛物线xy62的准线是23x,即双曲线的右准线23122cccax,则02322 cc,解得2c,3a,332 ace,故选D 变式练习1:若椭圆经过原点,且焦点为 0,11F、0,32F,则其离心率为( ) A. 43 B. 32 C. 21 D. 41 解:由 0,11F、0,32F知 132c,∴1c,又 椭圆过原点,∴1 ca, 3 ca,∴2a,1c,所以离心率21 ace.故选C. 变式练习2:如果双曲线的实半轴长为2,焦距为6,那么双曲线的离心率为( ) A. 23 B. 26 C. 23 D 2 解:由题设2a,62 c,则3c,23 ace,因此选C 变式练习3:点P(-3,1)在椭圆12222byax( 0 ba)的左准线上,过点P 且方向为5,2 a的光线,经直线2y反射后通过椭圆的左焦点,则这个椭圆的离心率为( ) A 33 B 31 C 22 D 21 解:由题意知,入射光线为3251xy,关于2y的反射光线(对称关系)为0525yx,则05532cca解得3a,1c,则33 ace,故选A 二、构造a 、c的齐次式,解出e 根据题设条件,借助a 、b 、c之间的关系,构造a 、c的关系(特别是齐二次式),进而得到关于e 的一元方程,从而解得离心率e。 例2:已知1F 、2F 是双曲线12222byax(0,0ba)的两焦点,以线段21FF为边作正三角形21FMF,若边1MF 的中点在双曲线上,则双曲线的离心率是( ) 2 A. 324  B. 13  C. 213  D. 13  解:如图,设1MF 的中点为P ,则P 的横坐标为2c,由焦半径公式aexPFp 1, 即acacc2,得0222acac,解得 31 ace(31舍去),故选D 变式练习1:设双曲线12222byax( ba 0)的半焦距为c ,直线L 过0,a,b,0两点.已知原点到直线的距离为c43,则双曲线的离心率为( ) A. 2 B. 3 C. 2 D. 332 解:由已知,直线L 的方程为0...

1、当您付费下载文档后,您只拥有了使用权限,并不意味着购买了版权,文档只能用于自身使用,不得用于其他商业用途(如 [转卖]进行直接盈利或[编辑后售卖]进行间接盈利)。
2、本站所有内容均由合作方或网友上传,本站不对文档的完整性、权威性及其观点立场正确性做任何保证或承诺!文档内容仅供研究参考,付费前请自行鉴别。
3、如文档内容存在违规,或者侵犯商业秘密、侵犯著作权等,请点击“违规举报”。

碎片内容

圆锥曲线离心率小结

确认删除?
VIP
微信客服
  • 扫码咨询
会员Q群
  • 会员专属群点击这里加入QQ群
客服邮箱
回到顶部