电脑桌面
添加小米粒文库到电脑桌面
安装后可以在桌面快捷访问

土力学课后习题答案(清华大学出版社)VIP免费

土力学课后习题答案(清华大学出版社)_第1页
1/22
土力学课后习题答案(清华大学出版社)_第2页
2/22
土力学课后习题答案(清华大学出版社)_第3页
3/22
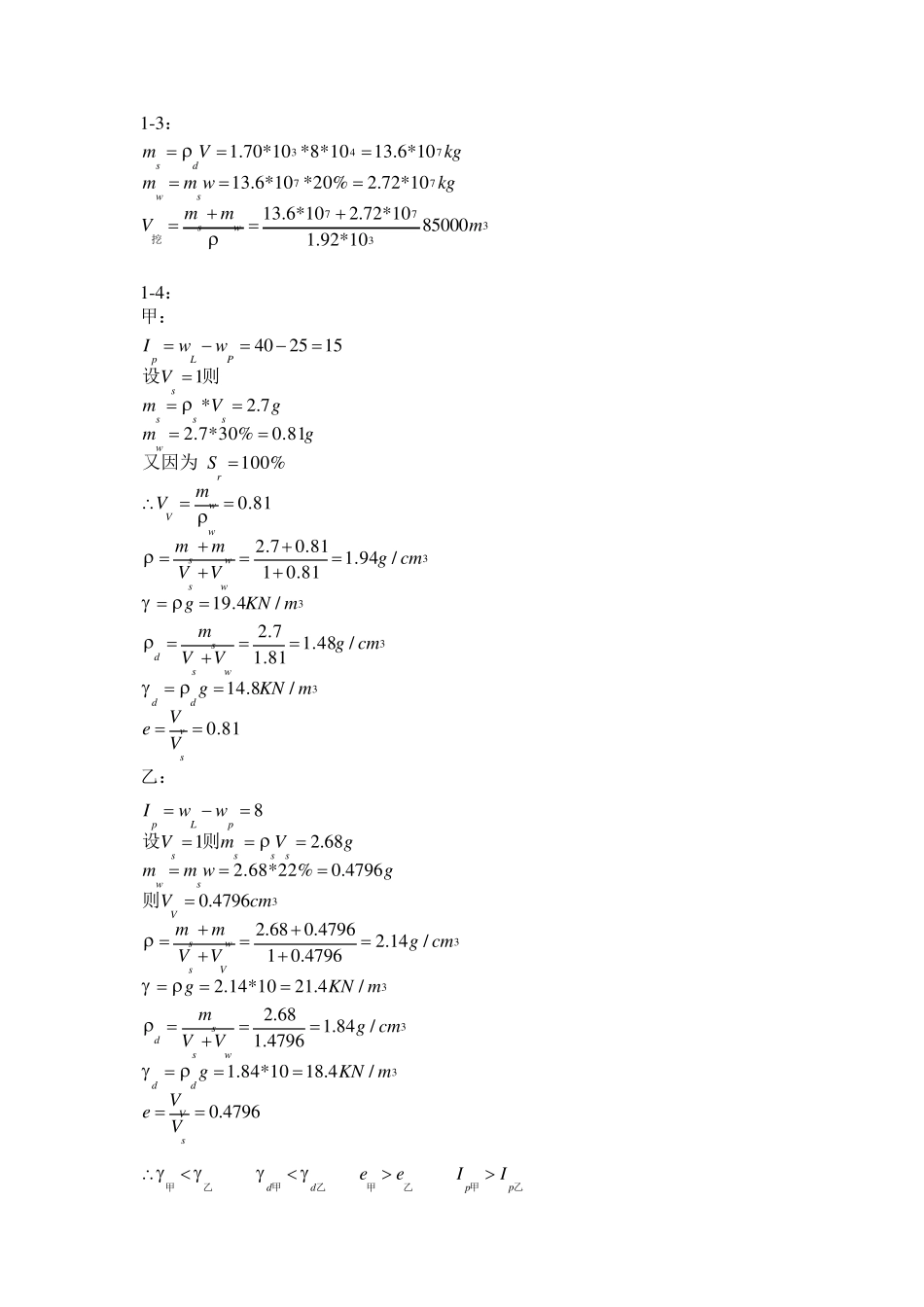
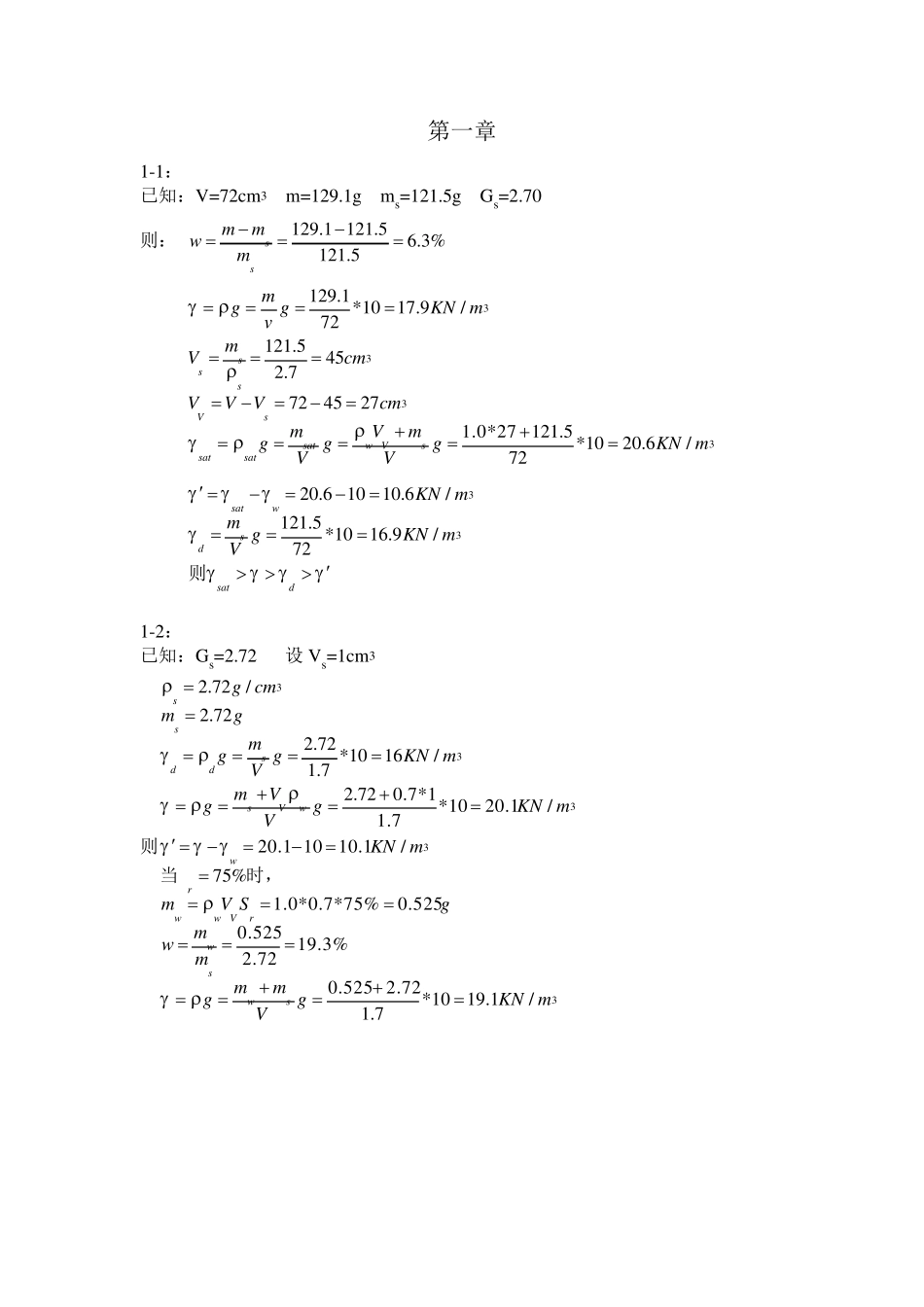
第一章 1-1: 已知:V=72cm3 m=129.1g ms=121.5g Gs=2.70 则: 129.1 121.56.3%121.5ssmmwm 3333129.1*1017.9/72121.5452.77245271.0*27121.5 *1020.6/72sssVssatwVssatsatmggKN mvmVcmVVVcmmVmgggKN mVV 3320.6 1010.6/121.5 *1016.9/72satwsdsatdKN mm gKN mV 则 1-2: 已知:Gs=2.72 设 Vs=1cm3 则33332.72/2.722.72 *1016/1.72.720.7*1*1020.1/1.720.1 1010.1/75%1.0*0.7*75%0.5250.52519.3%2.720.525 2.721.sssddsVwwrwwVrwswsg cmmgmggKN mVmVggKN mVKN mmV SgmwmmmggV 当S时,3*1019.1/7KN m 1 -3 : 3477777331 .7 0 *1 0 *8 *1 01 3 .6 *1 01 3 .6 *1 0 *2 0 %2 .7 2 *1 01 3 .6 *1 02 .7 2 *1 08 5 0 0 01 .9 2 *1 0sdwsswmVkgmm wkgmmVm挖 1 -4 : 甲: 33334 02 51 51*2 .72 .7 *3 0 %0 .8 11 0 0 %0 .8 12 .70 .8 11 .9 4/10 .8 11 9 .4/2 .71 .4 8/1 .8 11 4 .8/0 .8 1pLPsssswrwVwswswsdswddvsIwwVmVgmgSmVmmg cmVVgKN mmg cmVVgKN mVeV设则又因为 乙: 33333812 .6 82 .6 8 *2 2 %0 .4 7 9 60 .4 7 9 62 .6 80 .4 7 9 62 .1 4/10 .4 7 9 62 .1 4 *1 02 1 .4/2 .6 81 .8 4/1 .4 7 9 61 .8 4 *1 01 8 .4/0 .4 7 9 6pLpsssswsVswsVsdswddVsIwwVmVgmm wgVcmmmg cmVVgKN mmg cmVVgKN mVeV设则则 乙甲 dd乙甲 ee乙甲 ppII乙甲 则(1)、(4)正确 1-5: 1swdGe  则 2.7*1110.591.7022%*2.7185%0.59swdsrGew GSe    所以该料场的土料不适合筑坝,建议翻晒,使其含水率降低。 1-6: minmaxmaxmin()()dddrdddD 式中 Dr=0.7 3max1.96/dg cm 3min1.46/dg cm 则可得:31.78/dg cm  1-7: 设 S=1, 则sVShh 则压缩后: 2.7sssmV Gh 2.7...

1、当您付费下载文档后,您只拥有了使用权限,并不意味着购买了版权,文档只能用于自身使用,不得用于其他商业用途(如 [转卖]进行直接盈利或[编辑后售卖]进行间接盈利)。
2、本站所有内容均由合作方或网友上传,本站不对文档的完整性、权威性及其观点立场正确性做任何保证或承诺!文档内容仅供研究参考,付费前请自行鉴别。
3、如文档内容存在违规,或者侵犯商业秘密、侵犯著作权等,请点击“违规举报”。

碎片内容

土力学课后习题答案(清华大学出版社)

确认删除?
VIP
微信客服
  • 扫码咨询
会员Q群
  • 会员专属群点击这里加入QQ群
客服邮箱
回到顶部