电脑桌面
添加小米粒文库到电脑桌面
安装后可以在桌面快捷访问

几个重要的不等式VIP免费

几个重要的不等式_第1页
1/12
几个重要的不等式_第2页
2/12
几个重要的不等式_第3页
3/12
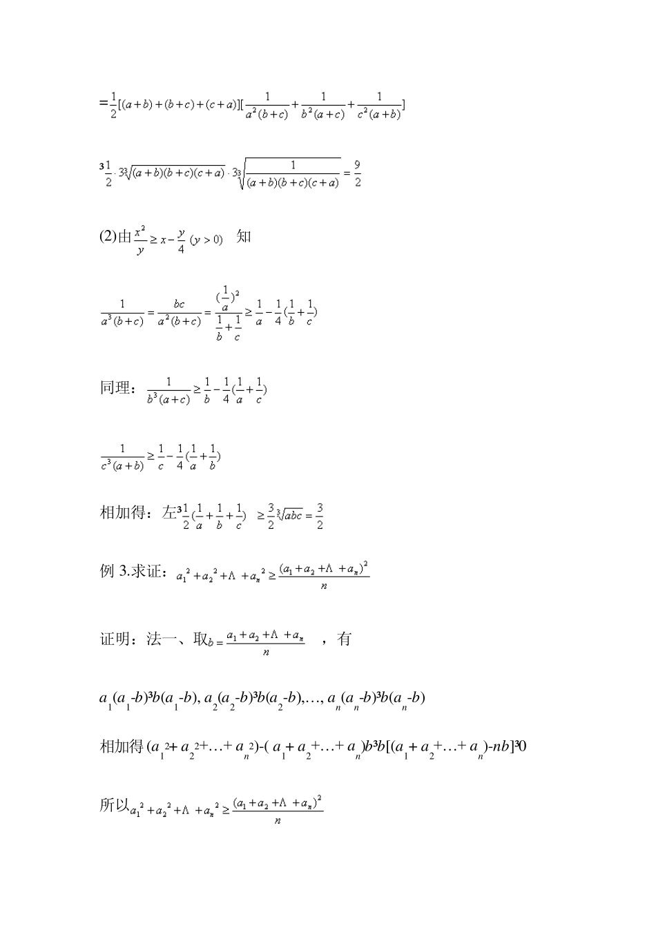
几个重要的不等式(一):平均值不等式 一、平均值不等式 设 a1,a2,… , an 是 n 个正实数,则,当且仅当a1=a2=… =an 时取等号 1.二维平均值不等式的变形 (1)对实数 a ,b 有 a 2+b 2³2a b (2)对正实数 a ,b 有 (3)对 b >0,有, (4)对 a b 2>0 有, (5)对实数 a ,b 有 a (a -b )³b (a -b ) (6)对 a >0,有 (7) 对 a >0,有 (8)对实数 a ,b 有 a 2³2a b -b 2 (9) 对实数 a ,b 及 l¹0,有 二、例题选讲 例 1.证明柯西不等式 证明:法一、若或命题显然成立,对¹0 且¹0,取 代入(9)得有 两边平方得 法二、,即二次式不等式恒成立 则判别式 例 2.已知 a>0,b>0,c>0,abc=1,试证明: (1) (2) 证明:(1)左=[] = ³ (2)由知 同理: 相加得:左³ 例3.求证: 证明:法一、取,有 a1(a1-b )³b (a1-b ), a2(a2-b )³b (a2-b ),… , an (an -b )³b (an -b ) 相加得(a12+ a22+… + an2)-( a1+ a2+… + an )b ³b [(a1+ a2+… + an )-n b ]³0 所以 法二、由柯西不等式得: (a1+ a2+…+ an )2=((a1×1+ a2×1+…+ an ×1)2£(a12+ a22+…+ an2)(12+12+…+12) =(a12+ a22+…+ an2)n , 所以原不等式成立 例 4.已知 a1, a2,…,an 是正实数,且 a1+ a2+…+ an <1,证明: 证明:设 1-(a1+ a2+…+ an )=an +1>0, 则原不等式即 n n +1a1a2…an +1£(1-a1)(1-a2)…(1-an ) 1-a1=a2+a3+…+an +1³n 1-a2=a1+a3+…+an +1³n ………………………………………… 1-an +1=a1+a1+…+an ³n 相乘得(1-a1)(1-a2)…(1-an )³n n +1 例 5.对于正整数 n ,求证: 证明:法一、 > 法二、左= = 例 6.已知 a1,a2,a3,… ,an 为正数,且,求证: (1) (2) 证明:(1) 相乘左边³=(n2+1)n 证明(2) 左边= -n+2( = -n+2× [(2-a1)+(2-a2)+… +(2-an)]( ³ -n +2×n 几个重要不等式(二)柯西不等式 ,当且仅当bi=lai (1£i£n )时取等号 柯西不等式的几种变形形式 1.设ai∈R,bi>0 (i=1,2,… ,n )则,当且仅当bi=lai (1£i£n )时取等号 2.设ai,bi同号且不为零(i=1,2,… ,n ),则,当且仅当b1=b2=… =bn 时取等号 例 1.已知 a1,a2,a3,… ,an,b1,b2,… ,bn 为正数,求证: 证明:左边= 例 2.对实数 a1,a2,… ,an,求证: 证明:左边= 例3.在△ABC ...

1、当您付费下载文档后,您只拥有了使用权限,并不意味着购买了版权,文档只能用于自身使用,不得用于其他商业用途(如 [转卖]进行直接盈利或[编辑后售卖]进行间接盈利)。
2、本站所有内容均由合作方或网友上传,本站不对文档的完整性、权威性及其观点立场正确性做任何保证或承诺!文档内容仅供研究参考,付费前请自行鉴别。
3、如文档内容存在违规,或者侵犯商业秘密、侵犯著作权等,请点击“违规举报”。

碎片内容

几个重要的不等式

您可能关注的文档

小辰5+ 关注
实名认证
内容提供者

出售各种资料和文档

相关文档

确认删除?
VIP
微信客服
  • 扫码咨询
会员Q群
  • 会员专属群点击这里加入QQ群
客服邮箱
回到顶部