电脑桌面
添加小米粒文库到电脑桌面
安装后可以在桌面快捷访问

工厂浪费现象VIP免费

工厂浪费现象_第1页
1/18
工厂浪费现象_第2页
2/18
工厂浪费现象_第3页
3/18
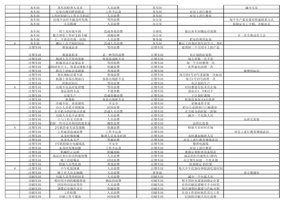
组名:日期:序号地点现象原因责任部门具体改善方案 预想改善方案1厂区院内各车间没贴出标识不便于查找合理化在各车间内贴出标识2厂区院内到处有不必要品不整洁合理化指定专人检查3厂区院内自行车乱放阻碍交通、浪费时间事务部划分出一定的区域4厂区院内汽车乱放不符合三定合理化划分出一定的区域5厂区院内员工偷着抽烟不安全办公室设立吸烟室6厂区院内员工灭火意识淡薄不安全办公室在半月内做一次应急演习7厂区院内一只大狗经常咬伤人造成人员受伤事务部把其放到没有经过处8厂区院内有人穿拖鞋进厂不安全事务部规定不得穿拖鞋进厂9厂区院内建筑工地的沙子太多容易出现脏不良事务部把沙子隔离开10厂区院内职工有的着装不整齐影响工厂形象合理化指定专人检查11厂区院内台车摆放乱未定位仓库对台车进行定位12厂区院内职工有的不带胸卡影响工厂形象合理化指定专人检查13厂区院内职工有的穿拖鞋进厂不安全合理化指定专人检查14厂区院内免责区没人管理不符合用眼管理合理化指定专人检查15厂区院内没有全厂俯视图不便于查找合理化要厂区明显处悬挂16全厂职工工作慢浪费职工工作不数炼组织职工学习操作知识17全厂会议浪费没有结果的会议会议必须有结果18全厂闲散人员多人员浪费办公室全厂减少人员5各19全厂员工走路没劲时间浪费各车间、科室步速100步以上20全厂开会时接电话时间浪费办公室开会时全部关机21各车间不知道听谁的好造成重复浪费办公室领导在指导时逐级指导22各车间员工在做5S 时积极性不高消极浪费办公室再按制订奖励制度23各车间外车间员工借工具不还物品的浪费各车间外车间人员借工具要有记录24各车间不开车间早会人员没有紧张感各车间每天7点50开会10分钟25各车间工具摆放没有定位。不便于查找。查找浪费各车间进行定位26各车间拖布太小时间浪费各车间更换大拖布27各车间刚来的员工操作不熟练人员浪费各车间对员工进行教育28各车间生产现场办公桌太多物资浪费各车间撤掉办公桌29各车间人员工作剩余时间多人员浪费各车间继续做其它工作工厂浪费现象LIST30各车间各车间检查人员多人员浪费各车间减少人员31各车间反复出现同样的错误工作不认真各车间对员工进行教育32各车间 工作时间说与工作无关的话人员浪费各车间对员工进行教育33各车间 出现不良时不能及时发现等待浪费办公室每个生产要员要有快速联系方式34各车间人员散漫人员浪费办公室按制定员工守则、并贴出去35各车间用工具时找不到造成查找浪费合理化做出各车间物品存放图36各车间...

1、当您付费下载文档后,您只拥有了使用权限,并不意味着购买了版权,文档只能用于自身使用,不得用于其他商业用途(如 [转卖]进行直接盈利或[编辑后售卖]进行间接盈利)。
2、本站所有内容均由合作方或网友上传,本站不对文档的完整性、权威性及其观点立场正确性做任何保证或承诺!文档内容仅供研究参考,付费前请自行鉴别。
3、如文档内容存在违规,或者侵犯商业秘密、侵犯著作权等,请点击“违规举报”。

碎片内容

工厂浪费现象

您可能关注的文档

小辰5+ 关注
实名认证
内容提供者

出售各种资料和文档

确认删除?
VIP
微信客服
  • 扫码咨询
会员Q群
  • 会员专属群点击这里加入QQ群
客服邮箱
回到顶部