编号:CEL—018 交流接触器能源效率标识实施规则 1 总则 1.1 本规则依据《能源效率标识管理办法》(国家发展改革委和国家质检总局第17...
交流接触器结构与工作原理 (一)如图l所示为交流接触器的外形与结构示意图。交流接触器由以下四部分组成: 图1 CJ10-20型交流接触器 1一...
1 低压交流接触器的选用 低压交流接触器是利用电磁吸力及弹簧反作用力的配合动作,从而使触点闭合与断开的一种电磁开关,是控制电器的一...
交流接触器 1 用途的分类 接触器是一种自动化的控制电器。接触器主要用于频繁接通或分断交、直流电路,具有控制容量大,可远距离操作,...
交流接触器接线方法和热继电器接线方法你仔细看一下接线原理图 和实物接线件这个是接线原理图之 1 后面还有 回答人的补充 2009-05-16...
交流接触器接线图 设备维修 2009-10-08 11:56:14 阅读3486 评论7 字号:大中小 订阅 交流接触器接线图(电动机正反转) 为了使电动...
交流接触器实物接线图(各种组合电器接线图 最近经常在网上看到朋友们需要接触器的实物接线图,因此我整理了一份关于接触器和其他控制电器...
交流接触器实物接线图(各种组合电器接线图)
交流接触器技术要求 1 结构要求 1.1 材料 节电器应选取性能满足使用要求的适用材料,并在构成节电器后应符合有关试验要求。用于电路中...
交流接触器常见故障诊断处理 交流接触器故障现象1 :不动或者动作不可靠 交流接触器规格 可能原因: 1 .电源电压过低或波动过大 2...
低压交流接触器主要用于通断电气设备电源,可以远距离控制动力设备,的接通断开设备电源时避免人身伤害。交流接触器的选用对动力设备和电力...
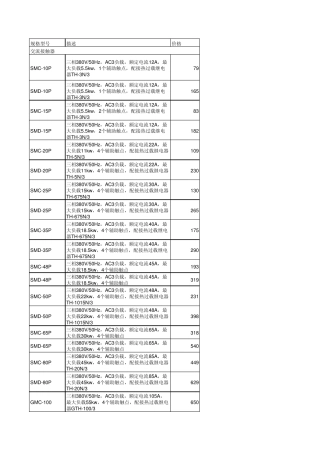
规格型号 描述价格SMC-10P三相380V/50Hz,AC3负载,额定电流12A,最大负载5.5kw,1个辅助触点,配接热过载继电器TH-3N/379SMD-10P三相380V...
下载后可任意编辑沟通接触器实物接线图(各种组合电器接线图最近常常在网上看到朋友们需要接触器的实物接线图,因此我整理了一份关于接触器...
Masterpact MW 空气断路器选型表框架电流06:630A 20:2000A08:800A 25:2500A10:1000A 32:3200A2:二段保护5:三段保护A:Microlo...
常熟接触器选型
常熟SC接触器与CK3同
接触器互锁的正反转控制电路2 ————————————————————————————————作者:———————————————...
接触器正反转的实物接线方法我们知道三相交流电机如果想换个转向,则只要把其中两相对换就可以, 那么你说的接触器正反转也是这个原理. ...
引用 接触器常见故障、原因及处理方法故障现象可能原因处理方法一、吸不上或吸力不足(即触头已闭合而铁心尚未完全吸合)1.电源电压过低...
VSC真空接触器产品说明书

