1 1. 根据经典力学原理,动量守恒的根本原因是 a (a) 空间平移对称性 (b) 时间平移对称性 (c) 空间方向对称性 (d) 空间和时间...
1 物理与人类文明复习题 一、选择题 1. 根据经典力学原理,动量守恒的根本原因是 a (a) 空间平移对称性 (b) 时间平移对称性 (c)...
[物理学7 章习题解答] 7 -2 一个运动质点的位移与时间的关系为 m , 其中x 的单位是m,t 的单位是s。试求: (1)周期、角频率、频...
第二章 刚体的转动 习 题 1、两个半径相同的飞轮用一皮带相连,作无滑动转动时,大飞轮边缘上各点的线速度的大小是否与小飞轮边缘上各...
第十五章 波与粒子 §15-1 黑体辐射 一、热辐射 物体向外部辐射能量,以电磁波的形式。辐射能量及频率取决于物体的温度。 1.辐射出射...
1 E 第十一章 电流和恒磁场 §11-1 恒定电流条件和导电规律 一、电流强度和电流密度 1、 电流强度: 方向:正电荷运...
物理学(师范类)专业本科教学计划 专业代号 070201 (国家) 0501(学校) 一、培养目标和基本规格 本专业培养能掌握物理学的基本理...
对“游乐场中的物理学”课题的探讨与研究课题组成员:年级专业班级:结题时间:、过山车过山车是一项富有刺激性的娱乐工具。那种风驰电掣、...
【物理意识】物理学和数学能完整描述真实吗 ?世界著名物理学家论辩量子意识什么是真实?罗杰·彭罗斯在他的《真实之路》一书的结论章中提...
学业水平测试卷物理本试卷分选择题和非选择题两部分,时量 90 分钟,满分 100 分。第 I 卷(选择题共 60 分)一、选择题(本题包括...
练习一2-1 正常情况下,人的小动脉半径约为 3mm,血液的平均速度为20cms1,若小动脉某部分被一硬斑阻塞使之变窄,半径变为 2mm,则...
2r〜10-15—10-14mm第一章原子的基本状况、学习要点1.原子的质量和大小,R~10-10m,No=6.022X1023/mol1u 二 12C 的质量二 1.66054x10-27...
)B.阳极一定是固定的。D.阳极是一个良好的热辐射体)医学影像物理学题库第一章第一节第一部分 X 射线管一、填空题1. X 射线管的负极,...
物理学史作业2012 届实验在物理学发展中的作用学生姓名赵孟冬学号 08103137 院系数理信息学院专业物理学指导教师余国祥完成日期2012 年...
三体》中的物理学大家好,我叫李淼,来自于广州的中山大学,在广州中山大学天文与空间科学研究院做院长,以后会到珠海成立物理天文学院。今...
第一章 质点运动学 沈阳工业大学 郭连权(教授) 1 第一篇 力学 1.运动学:只从几何观点研究物体的运动。如位置、速度、加速度等,...
普通物理学课件第十章机械振动和电磁振荡
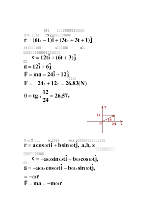
第三章 动量定理及动量守恒定律(习题) 3.5.1 质量为2kg 的质点的运动学方程为 jˆ)1t3t3(iˆ)1t6(r22 (t 为时间,单...
第4 章动能和势能 第4 章动能和势能 习题解答 4.2.2 本题图表示测定运动体能的装置。绳拴在腰间沿水平展开跨过理想滑轮,下悬重物50k...
第3 章动量定理及其守恒定律 第三章 动量定理及其守恒定律 习题解答 3.5.1 质量为2kg 的质点的运动学方程为 jttitrˆ)133(ˆ)16(22...

