UCP2 带座轴承 型号 轴径 m m 外形尺寸(m m ) H L J A N N1 H1 H0 S B 螺栓尺寸 轴承型号 轴承座型号 重量 (kg...
SKF 轴承润滑脂: 各种应用的完美解决方案 即使是最好的轴承也只有在正确润滑时才能发挥其最佳性能。选择合适的轴承润滑脂,并采用最合...
SKF 轴承知识大全 SKF 轴承简介,SKF 轴承型号的含义,NSK 公司概述,SKF 轴承故障排除 and so on. 1:SKF 轴承简介: SKF 的...
161ECB 22240 CCK JA / C3 W3312345Spherical Roller Bearings61. PrefixesECBAir melt carburized steel, innerring onlyBS...
序号明细分类描述轴承型号内径(mm)外径(mm)宽度(mm)1角接触球轴承3202 A-2RS1TN9/MT33153515.92角接触球轴承3202 A-2ZTN9/MT33153515.93...
SKF 轴承型号含义 默认分类 2009-09-09 09:47 阅读120 评论0 字号: 大 中 小 1、SKF 轴承型号的含义 SKF 公司的滚动轴承,...
更全面的SKF 轴承型号后缀字母说明 SKF 公司的滚动轴承,SKF 轴承部件及附件的完整代号由基本代号和补充代号组成。基本代号由轴承类型...
SKF 轴 承 型 号 的 命 名 规 则 1.球 面 滚 子 轴 承 的 命 名 22217 CCK/C3W33 2 – 双 列 球 面 滚 子 轴...
瑞典SKF 轴承后缀代号详细说明: (1) 内部设计 ACD——接触角为25 度。 B——接触角为40 度。 CC——接触角为12 度。 CD——接...
SKF 轴 承 常 用 后 缀 及 参数说明 常 用 后 缀 : CN: 普 通 组 径 向 游 隙 ; 通 常 仅 用 于 与 以 ...
SKF轴承公司供应商质量标准
型号滚子数保持架滚子或滚柱外环内环备注111190.4022.4613.6215.379N206120.4192.9885.0236.977N207120.4152.864.9817.019N209140.4233.175...
SKF 轴承保持架材料 SKF 冲压钢保持架 大多数冲压钢保持架是用符合 (DIN) EN 10111:1998 的连续热轧低碳薄钢板制造的。 这些轻型...
SKF轴承产品手册
SKF轴承代号说明
1 1 0 1 1 1 角接触球轴承 目录 角接触球轴承 1 1 2 四种不同的设计 1 1 2 标准精密角接触球轴承 1 1 4 高速精密角接...
SKF 轴承—前置代号及后置代号的含义 瑞典SKF轴承万帮达公司的滚动轴承,滚动轴承部件及附件的完整代号由基本代号和补充代号组成。基本代...
SKF大型SNL轴承座
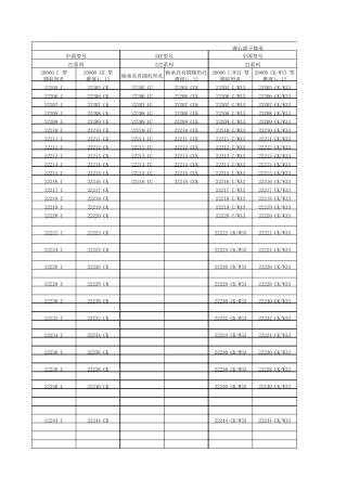
20000 C 型圆柱形孔20000 CK 型锥度1:12轴承具有圆柱形孔轴承具有圆锥形孔锥度1:1220000 C/W33 型圆柱形孔20000 CK/W33 型锥度1...
SF 复合轴承产品说明书 SF-1 型材料的结构和特点 STRUCTIRE and PROPERTY of SF-1 结构 SF-1 三层复合材料。它由塑料—青铜—钢...

