电脑桌面
添加小米粒文库到电脑桌面
安装后可以在桌面快捷访问

新人教版七年级一元一次解方程计算题100道经典题型(全部)VIP免费

新人教版七年级一元一次解方程计算题100道经典题型(全部)_第1页
1/6
新人教版七年级一元一次解方程计算题100道经典题型(全部)_第2页
2/6
新人教版七年级一元一次解方程计算题100道经典题型(全部)_第3页
3/6
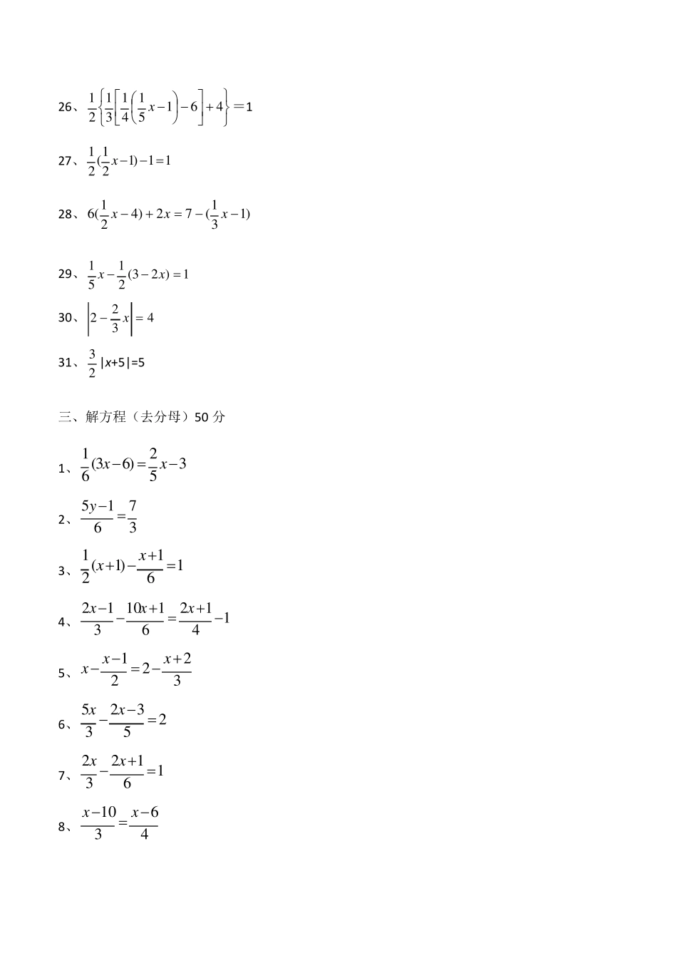
新人教版七年级一元一次解方程计算题1 0 0 道经典题型(全部) 一、解方程(移项与合并同类项)20 分 1、xx232 2、4631 27.253.13xxxx 3、xx21  4、x355 5、15 x 6、1835xx 7、xx237 8、xxx58.42.13 9、26473xxx 10、xxx91 0 026 41 1 11、xxxx43987 12、xxx25.132 13、xx3.15.67.05.0 14、3.05.064xxx 15、152xx 16、3536xx 17、3223x 18、1 68421xxxxx 19、432214xx 20、xxx3212 二、解方程(去括号)30 分 1、4)1(2x 2、5)1(10x 3、95)3(xx 4、)12(1)2(3xxx 5、)15(2)2(5xx 6、)4(3)2()1(2xxx 7、1)1(234xx 8、xxx31)1(2)1( 9、)1(3)14(6)2(2xxx 10、)1(9)15(3)2(4xxx 11、)12(3)32(21xx 12、xxx31)1(2)1( 13、)9(76)20(34xxxx 14、)3()2(2xx 15、)1(72)4(2xxx 16、)43(23)165(2xxx 17、)12(41)2(3xxx 18、)4(12)2(24xxx 19、)1(9)14(3)2(2xxx 20、)1(9)14(3)2(2yyy 21、)9(76)20(34xxxx 22、17}20]8)15(4[3{2x 23、2)]}4(8[2{3]5)4(3[2xxxxxx24、)1(32)1(2121xxx 25、1122(1)(1)223xxxx 26、46151413121x=1 27、11)121(21x 28、)131(72)421(6xxx 29、1)23(2151xx 30、2243 x 31、 23 |x +5|=5 三、解方程(去分母)50 分 1、352)63(61xx 2、37615y 3、161)1(21xx 4、1412611 0312xxx 5、32221xxx 6、253235 xx 7、161232 xx 8、4631 0xx 9、12.03.015.02.01.0xxx 10、353235xx 11、6.13.0522.03xx 12、221412xx 13、222534yyy 14、52221yy 15、632141xx 16、5131xx 17、512131xx; 18、4232xx; 19、21141xx 20、223131xx 21、32213415xxx 22、318196...

1、当您付费下载文档后,您只拥有了使用权限,并不意味着购买了版权,文档只能用于自身使用,不得用于其他商业用途(如 [转卖]进行直接盈利或[编辑后售卖]进行间接盈利)。
2、本站所有内容均由合作方或网友上传,本站不对文档的完整性、权威性及其观点立场正确性做任何保证或承诺!文档内容仅供研究参考,付费前请自行鉴别。
3、如文档内容存在违规,或者侵犯商业秘密、侵犯著作权等,请点击“违规举报”。

碎片内容

新人教版七年级一元一次解方程计算题100道经典题型(全部)

小辰9+ 关注
实名认证
内容提供者

出售各种资料和文档

相关文档

确认删除?
VIP
微信客服
  • 扫码咨询
会员Q群
  • 会员专属群点击这里加入QQ群
客服邮箱
回到顶部