电脑桌面
添加小米粒文库到电脑桌面
安装后可以在桌面快捷访问

2010年全国大学生非数学专业竞赛试题及解答VIP免费

2010年全国大学生非数学专业竞赛试题及解答_第1页
1/13
2010年全国大学生非数学专业竞赛试题及解答_第2页
2/13
2010年全国大学生非数学专业竞赛试题及解答_第3页
3/13
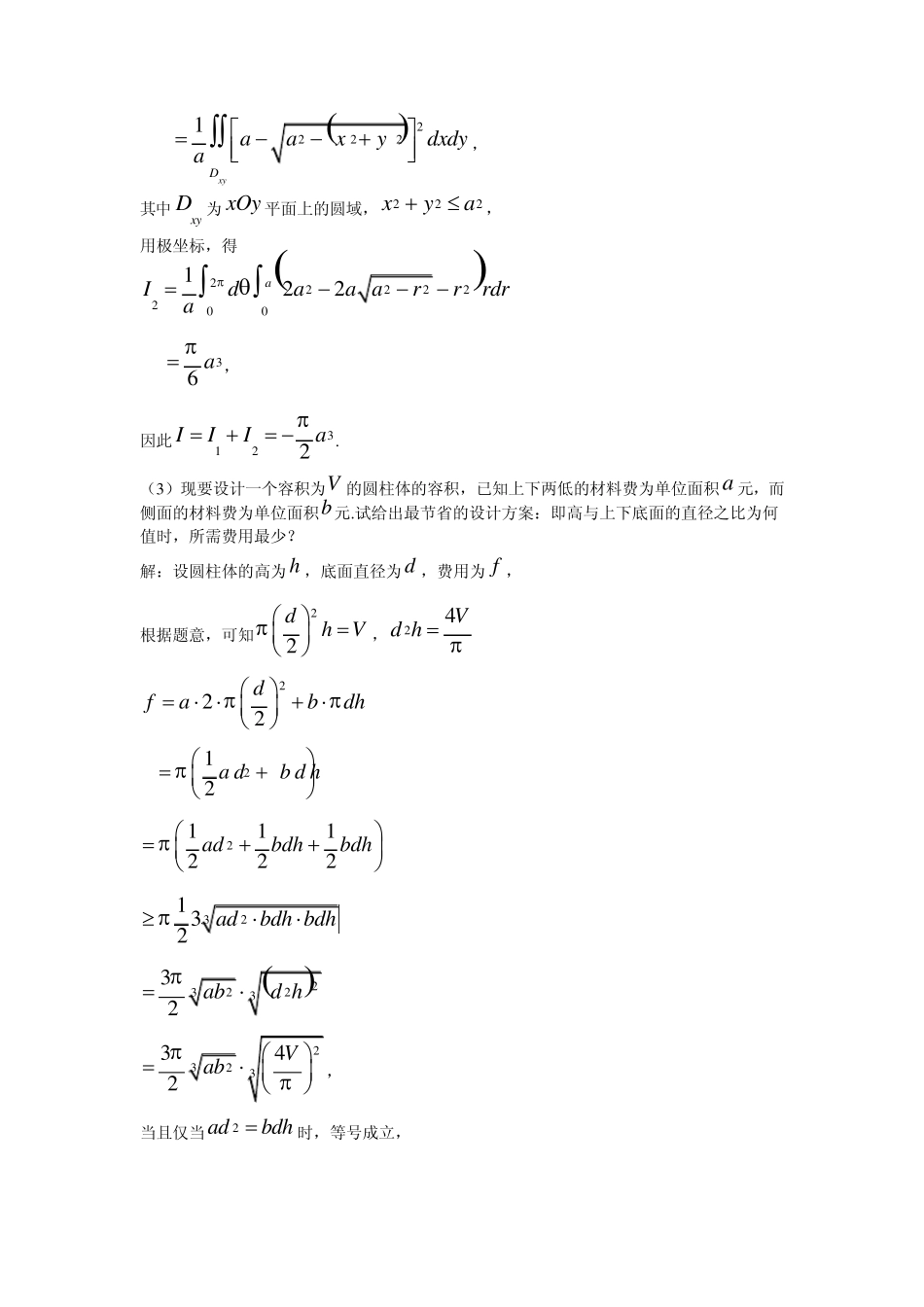
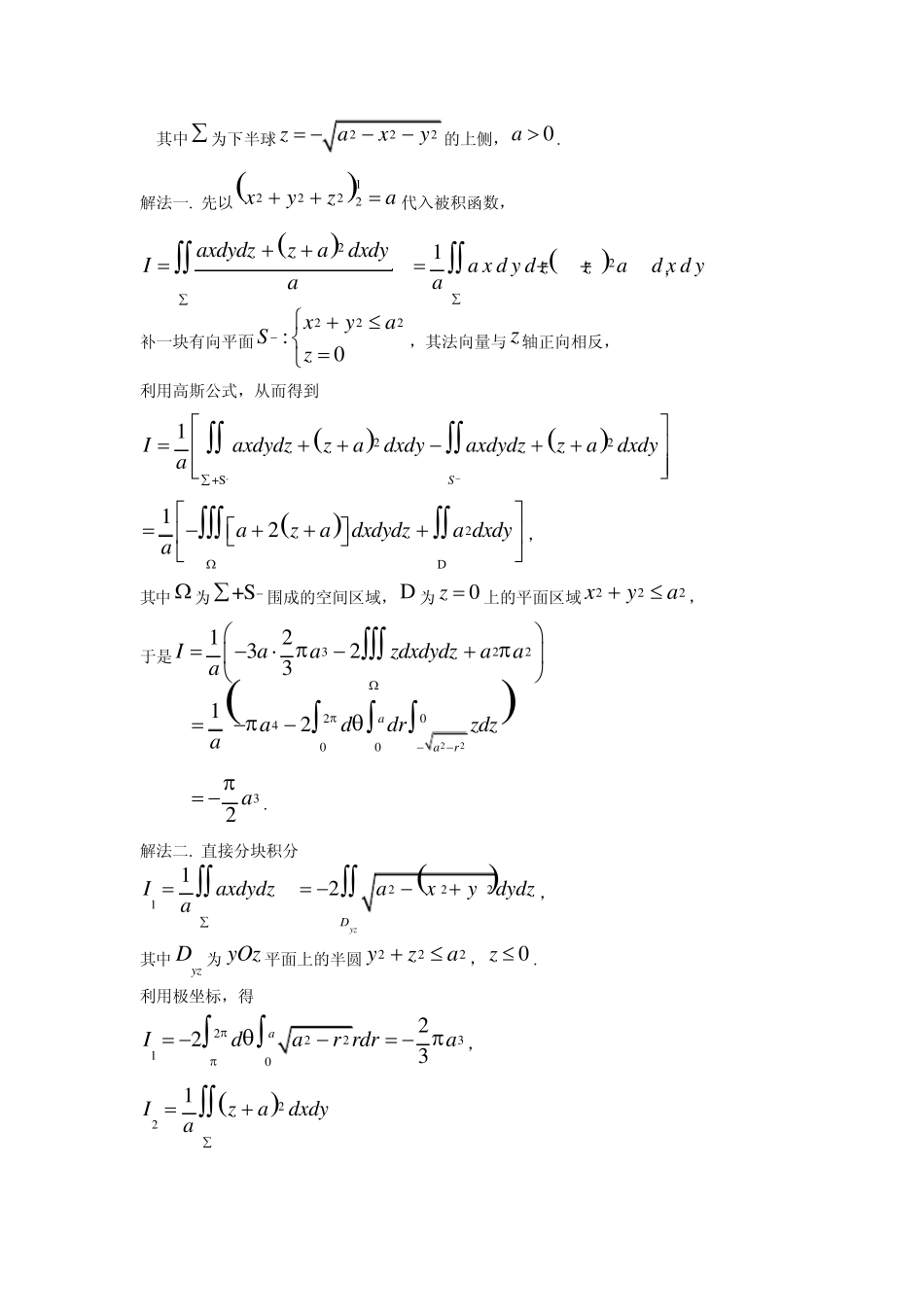
2010 年全国大学生非数学专业竞赛试题及解答 一、计算题 (1) 求极限 21lim(1)sinnnkkknn 解法1 直接化为黎曼和的形式有困难. 注意到 3sin()xxO x=+, 3322611lim1sinlim1nnnnkkkkkkkOnnnnn, 由于 33336611|1() |20,()nnkkkkkOCnnnn , 所以 2211lim1sinlim1nnnnkkkkkknnnn 65)(1)(lim102122dxxxnnknknkn. 解法2 利用31sin6xxxx-<<,得 3326221sin6kkkknnnn, 332622111111(1)1sin16nnnnkkkkkkk kkkkknnnnnnnn, 由于33336611|1|20,()nnkkkkknnnn , 21lim1nnkkknn65)(1)(lim102122dxxxnnknknkn, 所以215lim(1)sin6nnkkknn . (2)计算2222axdydzzadxdyIxyz, 其中 为下半球222zaxy 的上侧,0a . 解法一. 先以12222xyza代入被积函数, 2axdydzzadxdyIa  21a x d y d zzad x d ya, 补一块有向平面222:0xyaSz  ,其法向量与 z轴正向相反, 利用高斯公式,从而得到 -22+S1SIaxdydzzadxdyaxdydzzadxdya 2D12azadxdydza dxdya, 其中 为+S围成的空间区域,D 为0z 上的平面区域222xya, 于是32212323Iaazdxdydzaaa 222040012aaraddrzdza  32 a . 解法二. 直接分块积分 11Iaxdydza  2222yzDaxydydz , 其中yzD为yOz平面上的半圆222yza,0z . 利用极坐标,得 222310223aIdar rdra  , 221Izadxdya  22221xyDaaxydxdya, 其中xyD为xOy 平面上的圆域,222xya, 用极坐标,得 22222200122aIdaa arrrdra  36 a, 因此3122IIIa ...

1、当您付费下载文档后,您只拥有了使用权限,并不意味着购买了版权,文档只能用于自身使用,不得用于其他商业用途(如 [转卖]进行直接盈利或[编辑后售卖]进行间接盈利)。
2、本站所有内容均由合作方或网友上传,本站不对文档的完整性、权威性及其观点立场正确性做任何保证或承诺!文档内容仅供研究参考,付费前请自行鉴别。
3、如文档内容存在违规,或者侵犯商业秘密、侵犯著作权等,请点击“违规举报”。

碎片内容

2010年全国大学生非数学专业竞赛试题及解答

小辰3+ 关注
实名认证
内容提供者

出售各种资料和文档

确认删除?
VIP
微信客服
  • 扫码咨询
会员Q群
  • 会员专属群点击这里加入QQ群
客服邮箱
回到顶部