电脑桌面
添加小米粒文库到电脑桌面
安装后可以在桌面快捷访问

2011年陕西专升本考试高等数学试题及答案VIP免费

2011年陕西专升本考试高等数学试题及答案_第1页
1/6
2011年陕西专升本考试高等数学试题及答案_第2页
2/6
2011年陕西专升本考试高等数学试题及答案_第3页
3/6
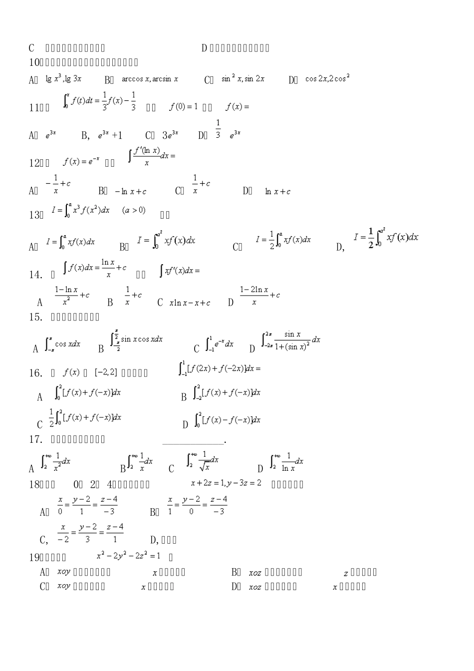
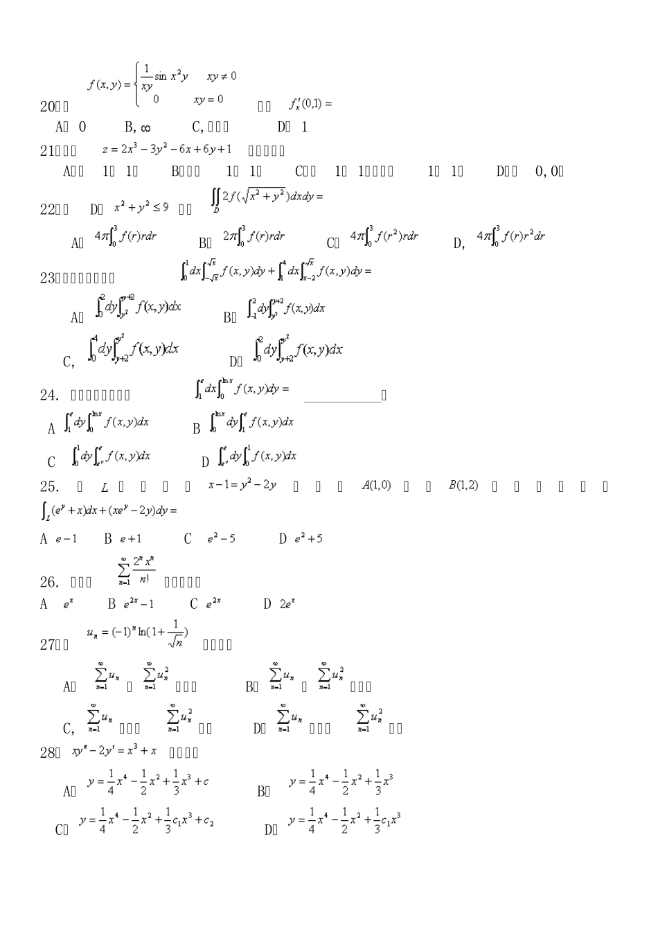
2011 年普通高等教育陕西专升本考试 高等数学试题 ( 答案附后) 注意事项:略 一、选择题 1、函数的定义域为 A,且 B, C, D,且 2、下列各对函数中相同的是: A, B, C, D, 3、当时,下列是无穷小量的是: A, B, C, D, 4、是的 A、连续点 B、跳跃间断点 C、可去间断点 D、第二类间断点 5、若,则 A、 -3 B、 -6 C、 -9 D、 -12 6. 若可导,则下列各式错误的是 A B C D 7. 设函数具有2009 阶导数,且,则 A B C 1 D 8. 设函数具有2009 阶导数,且,则 A 2 B C D 9. 曲线 A 只有垂直渐近线 B 只有水平渐近线 C 既有垂直又有水平渐近线 D 既无垂直又无水平渐近线 10、下列函数中是同一函数的原函数的是: A, B, C, D, 11、设,且,则 A, B, +1 C, 3 D, 12、设,则 A, B, C, D, 13、,则 A, B, C, D, 14. 若,则 A B C D 15. 下列积分不为0的是 A B C D 16. 设在上连续,则 A B C D 17. 下列广义积分收敛的是___________. A B C D 18、过(0, 2, 4)且平行于平面的直线方程为 A, B, C, D,无意义 19、旋转曲面是 A,面上的双曲线绕轴旋转所得 B,面上的双曲线绕轴旋转所得 C,面上的椭圆绕轴旋转所得 D,面上的椭圆绕轴旋转所得 20、设,则 A, 0 B, C,不存在 D, 1 21、函数的极值点为 A,(1, 1) B,(—1, 1) C,(1, 1)和(—1, 1) D,(0,0) 22、设D:,则 A, B, C, D, 23、交换积分次序, A, B, C, D, 24. 交换积分顺序后,__________。 A B C D 25. 设为抛物线上从点到点的一段弧,则 A B C D 26. 幂级数的和函数为 A B C D 27、设,则级数 A, 与都收敛 B,与都发散 C, 收敛,发散 D,发散,收敛 28、的通解为 A, B, C, D, 29、的特解应设为: A, B, C, D, 30. 方程的特解可设为 A B C D 二、填空题 31. 设的定义域为,则的定义域为________. 32.已知,则_________ 33. 设函数在内处处连续,则=________. 34.函数在区间上的最大值为_________ 35 函数的单调增加区间为________ 36.若,则________ 37. 函数的垂直渐进线为________ 38. 若,在连续,则________ 39. 设________ 40. 设,则 41. 二重积分,变更积分次序后为 42. L 是从点(0, 0)沿着的上半圆到(1,...

1、当您付费下载文档后,您只拥有了使用权限,并不意味着购买了版权,文档只能用于自身使用,不得用于其他商业用途(如 [转卖]进行直接盈利或[编辑后售卖]进行间接盈利)。
2、本站所有内容均由合作方或网友上传,本站不对文档的完整性、权威性及其观点立场正确性做任何保证或承诺!文档内容仅供研究参考,付费前请自行鉴别。
3、如文档内容存在违规,或者侵犯商业秘密、侵犯著作权等,请点击“违规举报”。

碎片内容

2011年陕西专升本考试高等数学试题及答案

您可能关注的文档

小辰9+ 关注
实名认证
内容提供者

出售各种资料和文档

确认删除?
VIP
微信客服
  • 扫码咨询
会员Q群
  • 会员专属群点击这里加入QQ群
客服邮箱
回到顶部