电脑桌面
添加小米粒文库到电脑桌面
安装后可以在桌面快捷访问

2012年天津高考数学试题及答案(理科)VIP免费

2012年天津高考数学试题及答案(理科)_第1页
1/8
2012年天津高考数学试题及答案(理科)_第2页
2/8
2012年天津高考数学试题及答案(理科)_第3页
3/8
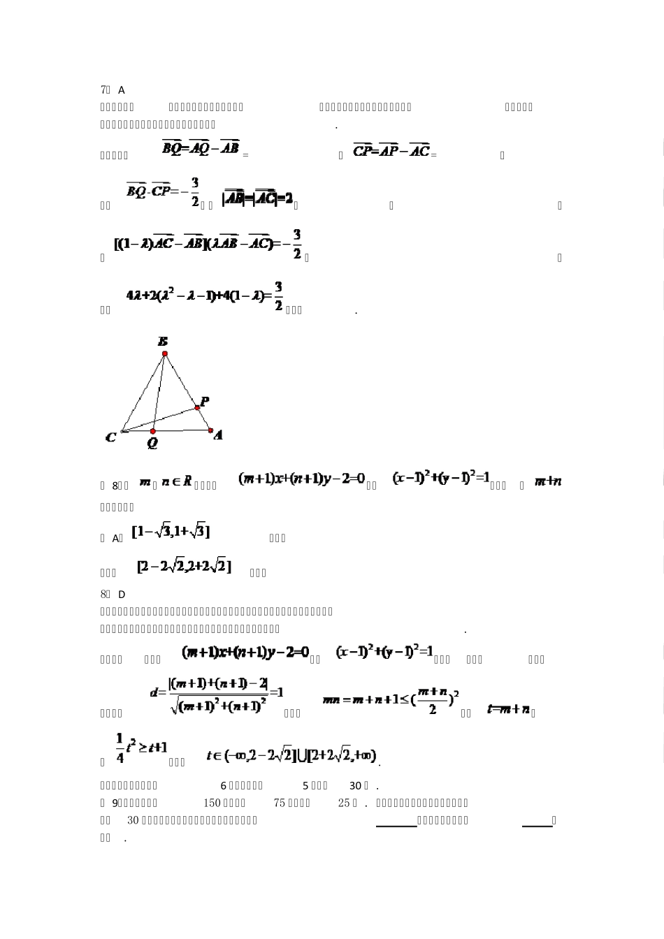
2012 年天津高考数学试题及答案(理科) 本试卷分为第I卷(选择题〉和第Ⅱ卷(非选择题)两部分,共150 分 ,考试用时120 分钟 第 I卷 一、选择题:在每小题给出的四个选项中,只有一项是符合题目要求的. ( 1)是虚数单位,复数= ( A) (B) (C) (D) 1.B 【命题意图】本试题主要考查了复数的概念以及复数的加、减、乘、除四则运算. 【解析】=== (2)设,则“”是“为偶函数”的 ( A)充分而不必要条件 (B)必要而不充分条件 (C)充分必要条件 (D)既不充分也不必要条件 2. A 【命题意图】本试题主要考查了三角函数的奇偶性的判定以及充分条件与必要条件的判定. 【解析】 为偶函数,反之不成立,∴“”是“为偶函数”的充分而不必要条件. (3)阅读右边的程序框图,运行相应的程序,当输入的值为时,输出的值为 ( A) (B) (C) (D) 3. C 【命题意图】本试题主要考查了算法框图的读取,并能根据已给的算法程序进行运算. 【解析】根据图给的算法程序可知:第一次,第二次,则输出. ( 4)函数在区间内的零点个数是 ( A) 0 (B)1 (C)2 (D)3 4. B 【命题意图】本试题主要考查了函数与方程思想,函数的零点的概念,零点存在定理以及作图与用图的数学能力. 【解析】解法1:因为,,即且函数在内连续不断,故在内的零点个数是1. 解法2: 设,, 在同一坐标系中作出两函数的图像如图所示:可知B 正确. ( 5)在的二项展开式中,的系数为 ( A) 10 (B)-10 (C)40 (D)-40 5. D 【命题意图】本试题主要考查了二项式定理中的通项公式的运用,并借助于通项公式分析项的系数. 【解析】 =, ∴, 即, ∴的系数为. ( 6)在△ABC 中,内角,,所对的边分别是,已知,,则cosC= ( A) (B) (C) (D) 6. A 【命题意图】本试题主要考查了正弦定理、三角函数中的二倍角公式. 考查学生分析、转化与计算等能力. 【解析】 ,由正弦定理得,又 ,∴,所以, 易知, ∴,=. ( 7)已知△ABC 为等边三角形,,设点P, Q 满足,,,若,则 ( A) (B) (C) (D) 7. A 【命题意图】本试题以等边三角形为载体,主要考查了向量加减法的几何意义,平面向量基本定理,共线向量定理及其数量积的综合运用. 【解析】 =,=, 又 , 且,,,∴,,所以,解得. ( 8)设,,若直线与圆相切,则的取...

1、当您付费下载文档后,您只拥有了使用权限,并不意味着购买了版权,文档只能用于自身使用,不得用于其他商业用途(如 [转卖]进行直接盈利或[编辑后售卖]进行间接盈利)。
2、本站所有内容均由合作方或网友上传,本站不对文档的完整性、权威性及其观点立场正确性做任何保证或承诺!文档内容仅供研究参考,付费前请自行鉴别。
3、如文档内容存在违规,或者侵犯商业秘密、侵犯著作权等,请点击“违规举报”。

碎片内容

2012年天津高考数学试题及答案(理科)

您可能关注的文档

确认删除?
VIP
微信客服
  • 扫码咨询
会员Q群
  • 会员专属群点击这里加入QQ群
客服邮箱
回到顶部