电脑桌面
添加小米粒文库到电脑桌面
安装后可以在桌面快捷访问

惠州2016届高三第三次调研考试文数参考答案资料VIP免费

惠州2016届高三第三次调研考试文数参考答案资料_第1页
1/8
惠州2016届高三第三次调研考试文数参考答案资料_第2页
2/8
惠州2016届高三第三次调研考试文数参考答案资料_第3页
3/8
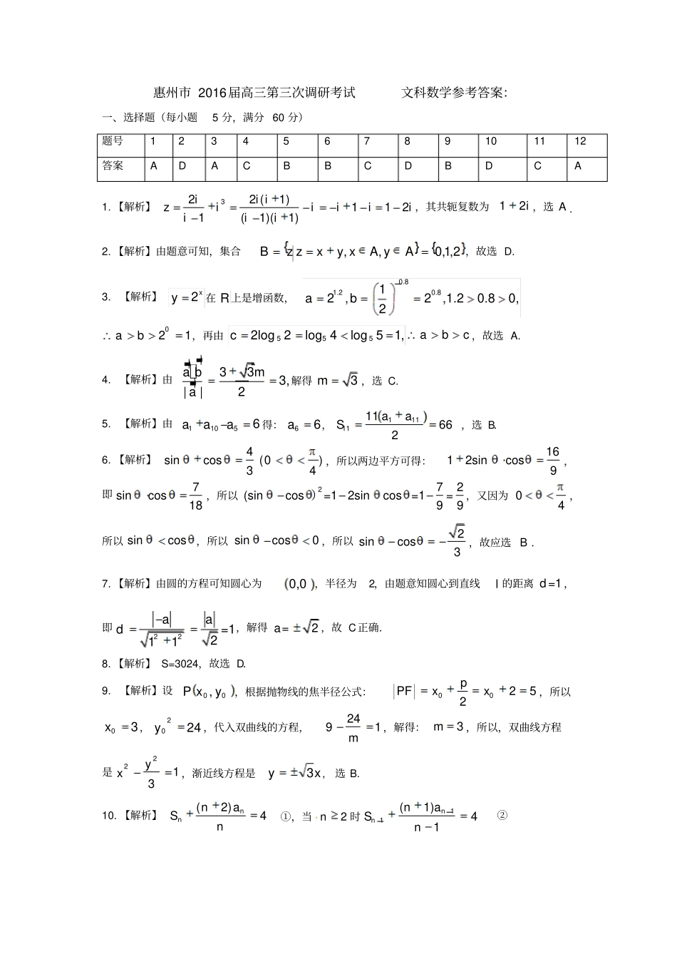
惠州市 2016 届第三次调研考试文数命题细目表题号模 块知识点分值1 复数复数的运算与共轭复数5 2 集合元素的计算与集合的性质,子集的个数. 5 3 函数用指对函数的性质比较大小5 4 向量数量积,投影5 5 数列等差数列5 6 三角函数计算5 7 直线与圆直线与圆的位置关系5 8 程序框图求和5 9 圆锥曲线双曲线方程和性质,抛物线的定义5 10 数列等比数列通项公式,求和公式5 11 三视图组合体的表面积5 12 函数函数的奇偶性、方程的根5 13 三角函数求特殊角的三角函数值5 14 不等式基本不等式5 15 概率古典概型5 16 立体几何球的表面积、简单的空间几何体5 17 三角函数解三角形12 18 统计频率分布直方图,独立性检验12 19 立体几何直线与平面垂直的判定,三棱锥的体积12 20 解析几何椭圆的定义和性质,椭圆与直线的位置关系,向量运算12 21 导数与函数函数的单调性,求参数的范围12 22 几何证明选讲切割线定理,直角三角形中的射影定理10 23 坐标系与参数方程参数方程、极坐标与直角坐标的转化;数形结合求动点问题10 24 不等式选讲绝对值不等式10 惠州市 2016届高三第三次调研考试文科数学参考答案:一、选择题(每小题5 分,满分 60 分)题号1 2 3 4 5 6 7 8 9 10 11 12 答案A D A C B B C D B D C A 1. 【解析】322 (1)1121(1)(1)ii iziiiiiiii,其共轭复数为12i ,选 A .2. 【解析】由题意可知,集合2,1,0,,AyAxyxzzB,故选 D. 3. 【解析】2xy在 R上是增函数,0.81.20.812,2,1.20.80,2ab021ab,再由5552log 2log 4log 51,cabc ,故选 A. 4. 【解析】由333,||2a bma解得3m,选 C. 5. 【解析】由65101aaa得:66a,6621111111aaS,选 B.6. 【解析】34cossin)40(,所以两边平方可得:1612sincos9,即7sincos18,所以272(sincos=12sincos =1=99),又因为 04,所以 sincos,所以 sincos0 ,所以2sincos3,故应选 B .7. 【解析】由圆的方程可知圆心为0,0 ,半径为2,由题意知圆心到直线l 的距离=1d,即22=1211aad,解得=2a,故 C正确.8. 【解析】 S=3024,故选 D.9. 【解析】设00, yxP,根据抛物线的焦半径公式:52200xpxPF,所以30x,2420y,代入双曲线的方程,2491m,解得:3m,所以,双曲线方程是1322yx,渐近线方程是xy3 , 选 B. 10. 【解析】(2)4nnnaSn①,当2n时11(1)41nnnaSn②①- ② 并整理得:12(1)nnanan,所...

1、当您付费下载文档后,您只拥有了使用权限,并不意味着购买了版权,文档只能用于自身使用,不得用于其他商业用途(如 [转卖]进行直接盈利或[编辑后售卖]进行间接盈利)。
2、本站所有内容均由合作方或网友上传,本站不对文档的完整性、权威性及其观点立场正确性做任何保证或承诺!文档内容仅供研究参考,付费前请自行鉴别。
3、如文档内容存在违规,或者侵犯商业秘密、侵犯著作权等,请点击“违规举报”。

碎片内容

惠州2016届高三第三次调研考试文数参考答案资料

文库响当当+ 关注
实名认证
内容提供者

该用户很懒,什么也没介绍

确认删除?
VIP
微信客服
  • 扫码咨询
会员Q群
  • 会员专属群点击这里加入QQ群
客服邮箱
回到顶部