电脑桌面
添加小米粒文库到电脑桌面
安装后可以在桌面快捷访问

中职数学练习题VIP免费

中职数学练习题_第1页
1/16
中职数学练习题_第2页
2/16
中职数学练习题_第3页
3/16
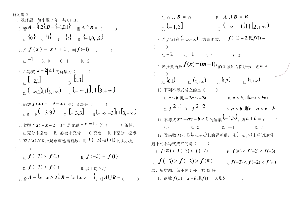
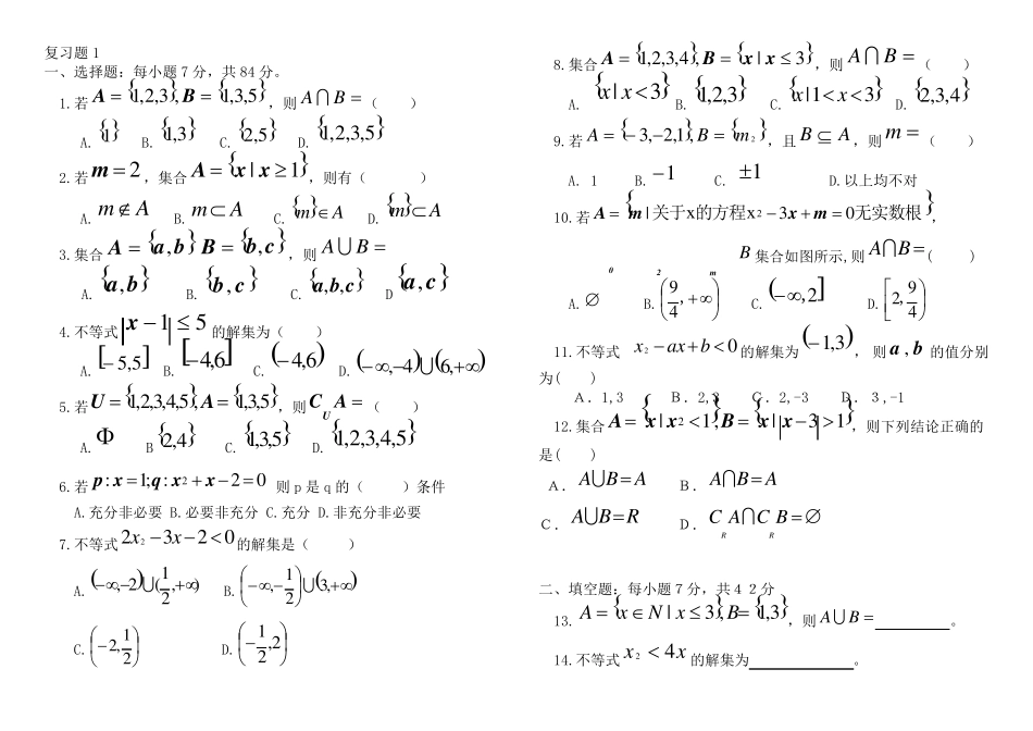
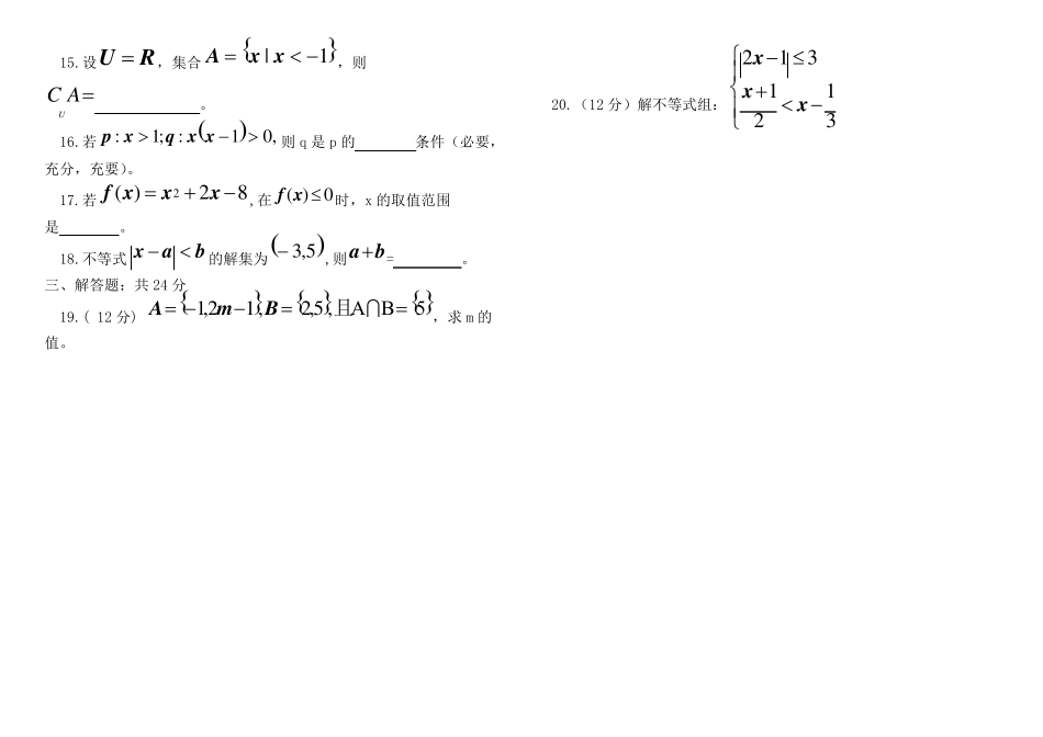
m20复习题1 一、选择题:每小题7 分,共 84 分。 1.若5,3,1,3,2,1BA,则BA ( ) A.1 B. 3,1 C. 5,2 D.5,3,2,1 2.若2m,集合1|xxA,则有( ) A.Am B.Am C.  Am  D.  Am  3.集合baA,cbB,,则BA  A.ba, B.cb, C.cba ,, Dca, 4.不等式51 x的解集为( ) A.5,5 B.6,4 C.6,4 D. ,64, 5.若5,3,1,5,4,3,2,1AU,则ACU( ) A. B 4,2 C.5,3,1 D.5,4,3,2,1 6.若02:;1:2xxqxp 则 p 是 q 的( )条件 A.充分非必要 B.必要非充分 C.充分 D.非充分非必要 7.不等式02322 xx的解集是( ) A.),21(2, B.,321, C.21,2 D.2,21 8.集合3|,4,3,2,1xxBA,则BA ( ) A. 3| xx B.3,2,1 C.31| xx D.4,3,2 9.若 2,1,2,3mBA,且AB ,则m( ) A. 1 B. 1 C. 1 D.以上均不对 10.若无实数根的方程关于03|mxmA2xx, B 集合如图所示,则BA( ) A. B.,49 C.2, D.492, 11.不等式02baxx的解集为3,1, 则ba ,的值分别为( ) A.1,3 B.2,3 C.2,-3 D.3,-1 12.集合13|,1|2xxBxxA,则下列结论正确的是( ) A.ABA B.ABA C.RBA D.BCACRR 二、填空题:每小题7分,共42分 13. 3,1,3|BxNxA,则BA 。 14.不等式xx42 的解集为 。 15.设RU ,集合1|xxA,则ACU 。 16.若,01:;1:xxqxp则q 是p 的 条件(必要,充分,充要)。 17.若82)(2xxxf,在 0)(xf时,x 的取值范围是 。 18.不等式bax的解集为5,3,则ba= 。 三、解答题:共 24 分 19.( 12 分)  5BA且,5,2,12,1BmA,求 m 的值。 20.(12 分)解不等式组:3121312xxx 复习题2 一、选择题:每小题7 分,共84 分。 1.若 1,0,1,2,1BA, 则 BA( ) A. 0 B.1 C.  2 D.2,1,...

1、当您付费下载文档后,您只拥有了使用权限,并不意味着购买了版权,文档只能用于自身使用,不得用于其他商业用途(如 [转卖]进行直接盈利或[编辑后售卖]进行间接盈利)。
2、本站所有内容均由合作方或网友上传,本站不对文档的完整性、权威性及其观点立场正确性做任何保证或承诺!文档内容仅供研究参考,付费前请自行鉴别。
3、如文档内容存在违规,或者侵犯商业秘密、侵犯著作权等,请点击“违规举报”。

碎片内容

中职数学练习题

您可能关注的文档

确认删除?
VIP
微信客服
  • 扫码咨询
会员Q群
  • 会员专属群点击这里加入QQ群
客服邮箱
回到顶部