电脑桌面
添加小米粒文库到电脑桌面
安装后可以在桌面快捷访问

复变函数与积分变(北京邮电大学)课后的习题答案VIP免费

复变函数与积分变(北京邮电大学)课后的习题答案_第1页
1/37
复变函数与积分变(北京邮电大学)课后的习题答案_第2页
2/37
复变函数与积分变(北京邮电大学)课后的习题答案_第3页
3/37
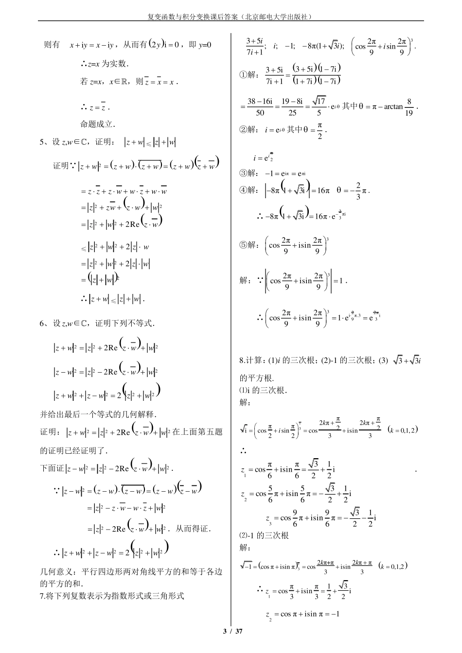
复变函数与积分变换课后答案(北京邮电大学出版社) 1 / 3 7 复变函数与积分变换 (修订版) 主编:马柏林 (复旦大学出版社) ——课后习题答案 复变函数与积分变换课后答案(北京邮电大学出版社) 2 / 3 7 习题一 1. 用复数的代数形式a+ib 表示下列复数 π/ 43513;;(2)(43 );711iieiiiii. ①解i4πππ2222ecosisinii442222  ②解: 35i 17i35i1613 i7i11+7i 17i2525  ③解: 2i43i834i6i510i ④解: 3 1i1335=iii1i222  2.求下列各复数的实部和虚部(z=x+iy) (za aza); 3331313;;; .22niizi   ① : 设z=x+iy 则22iiiiiixayxayxyaxayzazaxyaxayxay   ∴22222Re zaxayzaxay , 222Im zaxyzaxay . ②解: 设z=x+iy   323222222223223iii2ii22i33izxyxyxyxyxyxyx xyxyy xyx yxxyx yy ∴ 332Re3zxxy,  323Im3zx yy. ③解:      332321i 31i 3113133133288       1 80i18 ∴1i 3Re12 , 1i 3Im02 . ④解:      2332313133133i1i 328      1 80i18 ∴1i 3Re12 , 1i 3Im02 . ⑤解:   1,2i211i,knknkknk . ∴当2nk时,   Re i1 kn  , Im i0n  ; 当21nk时, Re i0n ,   Im i1 kn  . 3.求下列复数的模和共轭复数 12;3;(2)(32 );.2iiii  ①解:2i415 . 2i2i     ②解:33 33   ③解:...

1、当您付费下载文档后,您只拥有了使用权限,并不意味着购买了版权,文档只能用于自身使用,不得用于其他商业用途(如 [转卖]进行直接盈利或[编辑后售卖]进行间接盈利)。
2、本站所有内容均由合作方或网友上传,本站不对文档的完整性、权威性及其观点立场正确性做任何保证或承诺!文档内容仅供研究参考,付费前请自行鉴别。
3、如文档内容存在违规,或者侵犯商业秘密、侵犯著作权等,请点击“违规举报”。

碎片内容

复变函数与积分变(北京邮电大学)课后的习题答案

确认删除?
VIP
微信客服
  • 扫码咨询
会员Q群
  • 会员专属群点击这里加入QQ群
客服邮箱
回到顶部