电脑桌面
添加小米粒文库到电脑桌面
安装后可以在桌面快捷访问

数列高考真题VIP专享VIP免费

数列高考真题_第1页
1/4
数列高考真题_第2页
2/4
数列高考真题_第3页
3/4
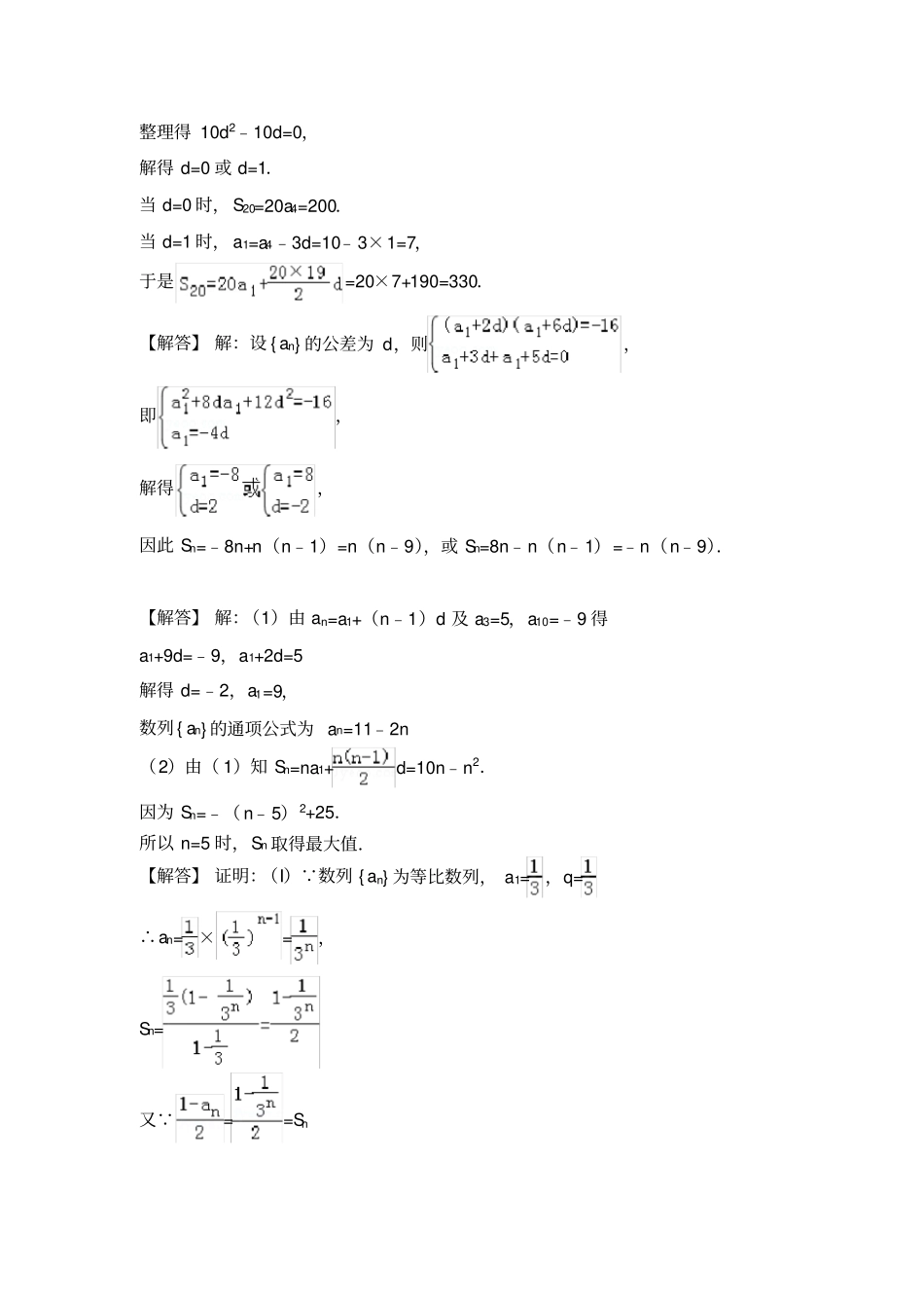
数列真题1(5 分)(2009?黑龙江)设等比数列 { an} 的前 n 项和为 Sn.若 a1=1,S6=4S3,则a4=。2.(5 分)(2014?新课标 Ⅱ)等差数列 { an} 的公差为 2,若 a2,a4,a8 成等比数列,则{ an} 的前 n 项和 Sn=()A.n(n+1)B.n(n﹣1)C.D.3.(5 分)(2015?新课标 Ⅱ)已知 Sn 是等差数列 { an} 的前 n 项和,若 a1+a3+a5=3,则 S5=()A.B.5C.7D.94.(5 分)(2015?新课标 Ⅱ)已知等比数列 { an} 满足 a1=,a3a5=4(a4﹣1),则a2=()A.2B.1C.D.5. (12 分)(2008?全国卷 Ⅱ)等差数列 { an} 中,a4=10 且 a3,a6,a10 成等比数列,求数列 { an} 前 20 项的和 S20.6.(10 分)(2009?黑龙江)已知等差数列 { an} 中, a3a7=﹣16,a4+a6=0,求{ an}前 n 项和 sn.7.(10 分)(2010?新课标)设等差数列 { an} 满足 a3=5,a10=﹣9.(Ⅱ)求 { an} 的通项公式;(Ⅱ)求 { an} 的前 n 项和 Sn及使得 Sn 最大的序号 n 的值.8.( 12 分)(2011?新课标)已知等比数列 { an} 中, a1=,公比 q=.(Ⅱ)Sn 为{ an} 的前 n 项和,证明: Sn=(Ⅱ)设 bn=log3a1+log3a2+⋯+log3an,求数列 { bn} 的通项公式.9.(12 分)(2017?新课标 Ⅱ)已知等差数列 { an} 的前 n 项和为 Sn,等比数列 { bn}的前 n 项和为 Tn,a1=﹣1,b1=1,a2+b2=2.(1)若 a3+b3=5,求 { bn} 的通项公式;(2)若 T3=21,求 S3.10.( 12 分)记nS 为等差数列 {}na的前 n 项和,已知17a,315S.(1)求 {}na的通项公式;(2)求nS ,并求nS 的最小值.【解答】 解:设等比数列的公比为q,则由 S6=4S3 知 q≠1,∴S6==.∴q3=3.∴ a1q3=3.故答案为: 3【解答】 解:由题意可得 a42=a2?a8,即 a42=(a4﹣4)(a4+8),解得 a4=8,∴a1=a4﹣3×2=2,∴Sn=na1+d,=2n+×2=n(n+1),故选: A.【解答】 解:由等差数列 { an} 的性质, a1+a3+a5=3=3a3,解得 a3=1.则 S5==5a3=5.故选: B.【解答】 解:设等比数列 { an} 的公比为 q, ,a3a5=4(a4﹣1),∴=4,化为 q3=8,解得 q=2则 a2==.故选: C.【解答】 解:设数列 {an} 的公差为d,则 a3=a4﹣d=10﹣d,a6=a4+2d=10+2d,a10=a4+6d=10+6d.由 a3,a6,a10成等比数列得 a3a10=a62,即( 10﹣d)(10+6d)=(10+2d)2,整理...

1、当您付费下载文档后,您只拥有了使用权限,并不意味着购买了版权,文档只能用于自身使用,不得用于其他商业用途(如 [转卖]进行直接盈利或[编辑后售卖]进行间接盈利)。
2、本站所有内容均由合作方或网友上传,本站不对文档的完整性、权威性及其观点立场正确性做任何保证或承诺!文档内容仅供研究参考,付费前请自行鉴别。
3、如文档内容存在违规,或者侵犯商业秘密、侵犯著作权等,请点击“违规举报”。

碎片内容

数列高考真题

确认删除?
VIP
微信客服
  • 扫码咨询
会员Q群
  • 会员专属群点击这里加入QQ群
客服邮箱
回到顶部