电脑桌面
添加小米粒文库到电脑桌面
安装后可以在桌面快捷访问

整式的乘法综合检测试卷及答案VIP免费

整式的乘法综合检测试卷及答案_第1页
1/6
整式的乘法综合检测试卷及答案_第2页
2/6
整式的乘法综合检测试卷及答案_第3页
3/6
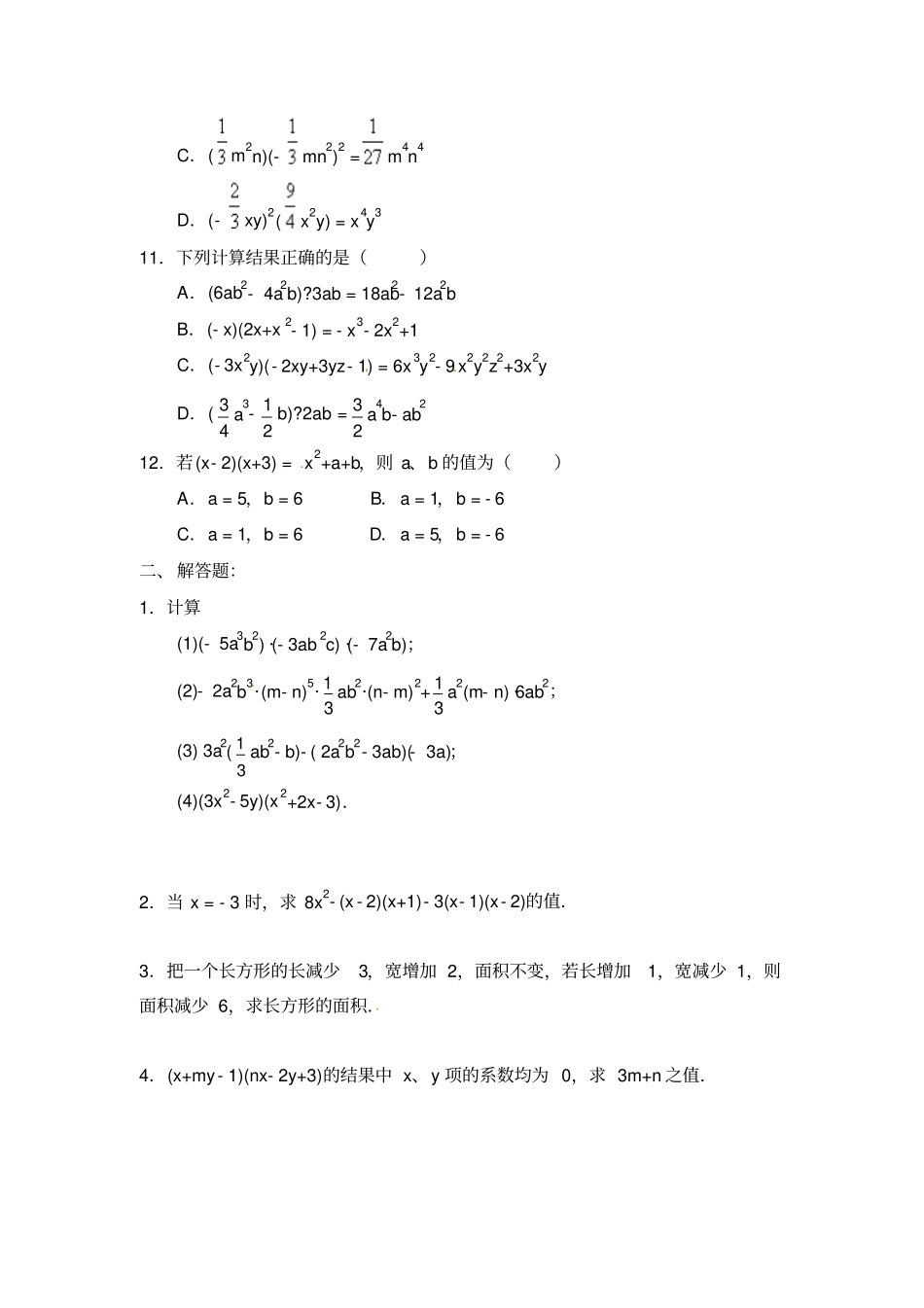
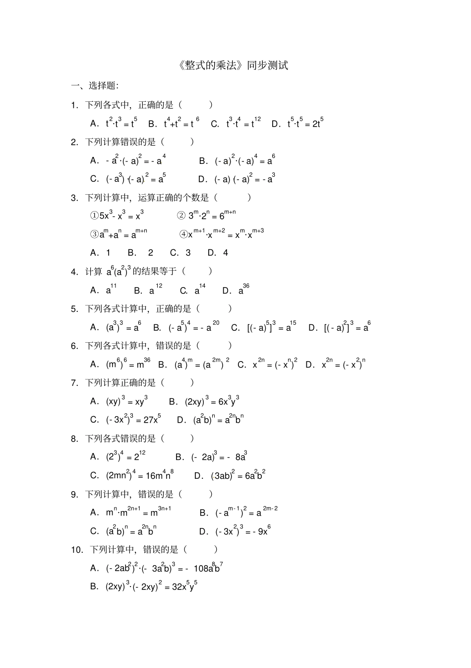
《整式的乘法》同步测试一、选择题:1.下列各式中,正确的是()A.t2·t3 = t5 B.t4+t2 = t 6 C.t3·t4 = t12 D.t5·t5 = 2t52.下列计算错误的是()A.- a2·(- a)2 = - a4 B.(- a)2·(- a)4 = a6C.(- a3) ·(- a)2 = a5 D.(- a) ·(- a)2 = - a33.下列计算中,运算正确的个数是()①5x3- x3 = x3 ② 3m·2n = 6m+n③am+an = am+n ④xm+1·xm+2 = xm·xm+3A.1 B. 2 C.3 D.4 4.计算 a6(a2)3 的结果等于()A.a11 B.a 12 C.a14 D.a365.下列各式计算中,正确的是()A.(a3)3 = a6 B.(- a5)4 = - a 20 C.[(- a)5]3 = a15 D.[( - a)2]3 = a66.下列各式计算中,错误的是()A.(m6)6 = m36 B.(a4)m = (a 2m) 2 C.x2n = (- xn)2 D.x2n = (- x2)n7.下列计算正确的是()A.(xy)3 = xy3 B.(2xy)3 = 6x3y3C.(- 3x2)3 = 27x5 D.(a2b)n = a2nbn8.下列各式错误的是()A.(23)4 = 212 B.(- 2a)3 = - 8a3C.(2mn2)4 = 16m4n8 D.(3ab)2 = 6a2b29.下列计算中,错误的是()A.mn·m2n+1 = m3n+1 B.(- am- 1)2 = a 2m- 2C.(a2b)n = a2nbn D.(- 3x2)3 = - 9x610.下列计算中,错误的是()A.(- 2ab2)2·(- 3a2b)3 = - 108a8b7B.(2xy)3·(- 2xy)2 = 32x5y5C.(m2n)(-mn2)2 =m4n4D.(-xy)2(x2y) = x4y311.下列计算结果正确的是()A.(6ab2- 4a2b)?3ab = 18ab2- 12a2b B.(- x)(2x+x2- 1) = - x3- 2x2+1 C.(- 3x2y)(- 2xy+3yz- 1) = 6x3y2- 9 x2y2z2+3x2y D.( 34a3- 12b)?2ab = 32a4b- ab212.若(x- 2)(x+3) = x2+a+b,则 a、b 的值为()A.a = 5,b = 6 B.a = 1,b = - 6 C.a = 1,b = 6 D.a = 5,b = - 6 二、 解答题:1.计算(1)(- 5a3b2) ·(- 3ab 2c) ·(- 7a2b);(2)- 2a2b3·(m- n)5· 13ab2·(n- m)2+ 13a2(m- n) ·6ab2;(3) 3a2( 13ab2- b)- ( 2a2b2- 3ab)(- 3a);(4)(3x2- 5y)(x2+2x- 3).2.当 x = - 3 时,求 8x2- (x - 2)(x+1)- 3(x- 1)(x- 2)的值.3.把一个长方形的长减少3,宽增加 2,面积不变,若长增加1,宽减少 1,则面积减少 6,求长方形的面积.4.(x+my- 1)(nx- 2y+3)的结果中 x、y 项的系数均为 0,求 3m+n 之值.参考答案:一、选择题1...

1、当您付费下载文档后,您只拥有了使用权限,并不意味着购买了版权,文档只能用于自身使用,不得用于其他商业用途(如 [转卖]进行直接盈利或[编辑后售卖]进行间接盈利)。
2、本站所有内容均由合作方或网友上传,本站不对文档的完整性、权威性及其观点立场正确性做任何保证或承诺!文档内容仅供研究参考,付费前请自行鉴别。
3、如文档内容存在违规,或者侵犯商业秘密、侵犯著作权等,请点击“违规举报”。

碎片内容

整式的乘法综合检测试卷及答案

您可能关注的文档

确认删除?
VIP
微信客服
  • 扫码咨询
会员Q群
  • 会员专属群点击这里加入QQ群
客服邮箱
回到顶部