电脑桌面
添加小米粒文库到电脑桌面
安装后可以在桌面快捷访问

整式的乘除与因式分解综合复习测试带答案VIP免费

整式的乘除与因式分解综合复习测试带答案_第1页
1/3
整式的乘除与因式分解综合复习测试带答案_第2页
2/3
整式的乘除与因式分解综合复习测试带答案_第3页
3/3
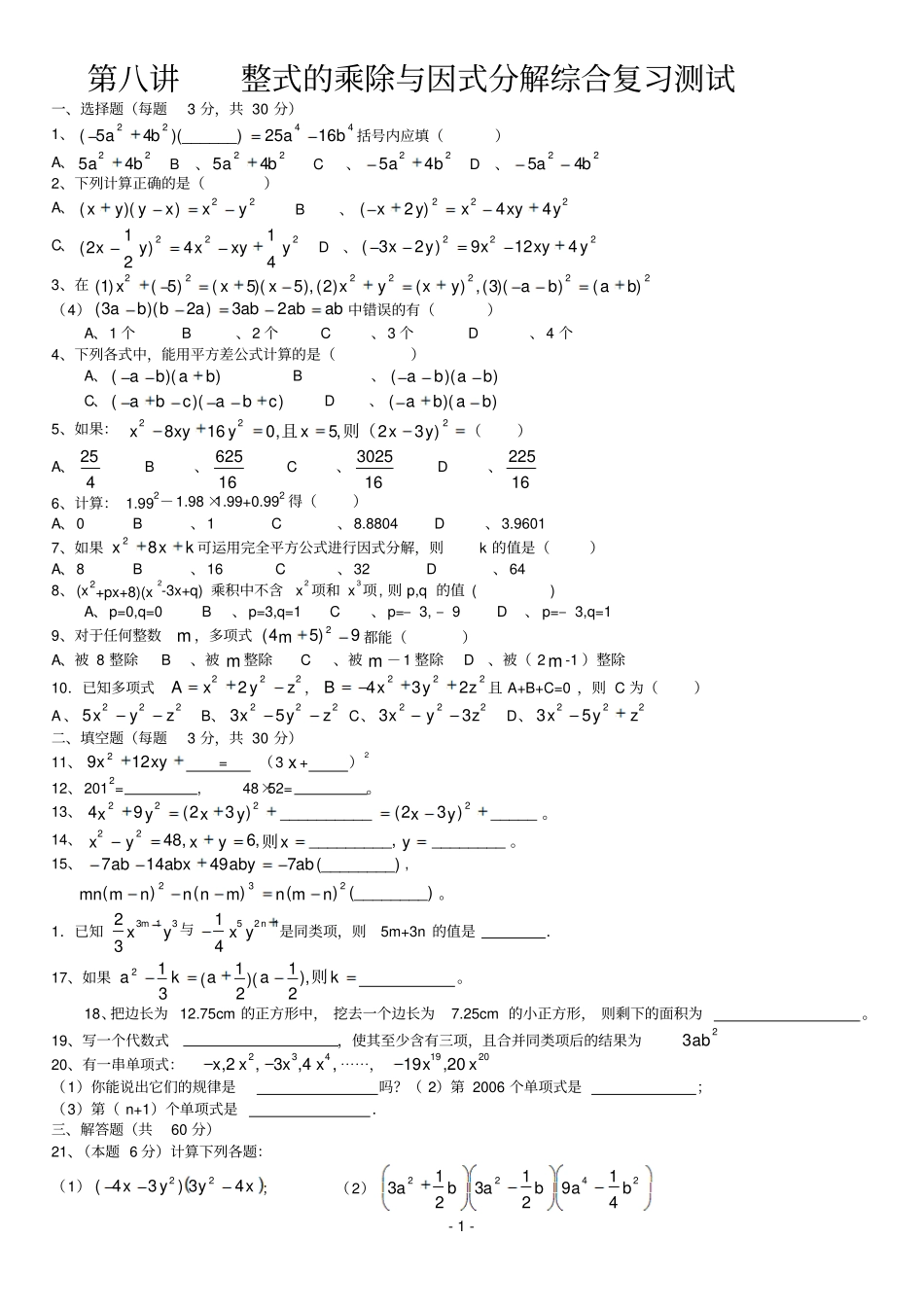
- 1 -第八讲整式的乘除与因式分解综合复习测试一、选择题(每题3 分,共 30 分)1、44221625)(______)45(baba括号内应填()A、2245ba B、2245ba C、2245ba D、2245ba2、下列计算正确的是()A、22))((yxxyyx B、22244)2(yxyxyxC、222414)212(yxyxyx D、2224129)23(yxyxyx3、在2222222)())(3(,)()2(),5)(5()5()1(babayxyxxxx(4)ababababba23)2)(3(中错误的有()A、1 个 B、2 个 C、3 个 D、4 个4、下列各式中,能用平方差公式计算的是()A、))((baba B、))((babaC、))((cbacba D、))((baba5、如果:222)32,5,0168yxxyxyx则(且()A、425 B、16625 C、163025 D、162256、计算: 1.992-1.98 ×1.99+0.992 得()A、0 B、1 C、8.8804 D、3.9601 7、如果kxx82可运用完全平方公式进行因式分解,则k 的值是()A、8 B、16 C、32 D、64 8、(x2+px+8)(x2-3x+q) 乘积中不含x2 项和 x3项, 则 p,q 的值 ( ) A、p=0,q=0 B、p=3,q=1 C、p=– 3, – 9 D、 p=– 3,q=1 9、对于任何整数m ,多项式9)54(2m都能()A、被 8 整除 B、被 m 整除 C、被 m -1 整除 D、被( 2m -1 )整除10.已知多项式2222zyxA,222234zyxB且 A+B+C=0 ,则 C 为()A 、2225zyxB、22253zyxC、22233zyxD、22253zyx二、填空题(每题3 分,共 30 分)11、xyx1292 =(3 x + )212、2012= , 48×52= 。13、_____)32(__________)32(942222yxyxyx。14、_________________,,6,4822yxyxyx则。15、(________)749147ababyabxab, (________))()()(232nmnmnnnmmn。1.已知31323mxy 与52114nx y是同类项,则5m+3n 的值是.17、如果kaaka则),21)(21(312。18、把边长为 12.75cm 的正方形中, 挖去一个边长为7.25cm 的小正方形, 则剩下的面积为。19、写一个代数式,使其至少含有三项,且合并同类项后的结果为23ab20、有一串单项式:234,2,3,4,xxxx⋯⋯,192019,20xx(1)你能说出它们的规律是吗?( 2)第 2006 个单项式是;(3)第( n+1)个单项式是.三、解答题(共60 分)21、(本题 6 分)计算下列各题:(1)xyyx43)34(22;(2)2422419213213bababa- 2 -(3)bababbaa22;(4)2222)(babababa22、(本题 6 分)化简求值 : 22224412212122121ababbababa(其中2,1 ba)23、(本题 7 分)试说明:无论x,y 取何值时,代数式( x3+3x2y-5xy+6 y3)+( y3+2xy2+x2y-2 x3)-(4x2y-x3-...

1、当您付费下载文档后,您只拥有了使用权限,并不意味着购买了版权,文档只能用于自身使用,不得用于其他商业用途(如 [转卖]进行直接盈利或[编辑后售卖]进行间接盈利)。
2、本站所有内容均由合作方或网友上传,本站不对文档的完整性、权威性及其观点立场正确性做任何保证或承诺!文档内容仅供研究参考,付费前请自行鉴别。
3、如文档内容存在违规,或者侵犯商业秘密、侵犯著作权等,请点击“违规举报”。

碎片内容

整式的乘除与因式分解综合复习测试带答案

您可能关注的文档

爱的疯狂+ 关注
实名认证
内容提供者

该用户很懒,什么也没介绍

确认删除?
VIP
微信客服
  • 扫码咨询
会员Q群
  • 会员专属群点击这里加入QQ群
客服邮箱
回到顶部