电脑桌面
添加小米粒文库到电脑桌面
安装后可以在桌面快捷访问

普通高等学校招生全国统一考试理科数学试题数列部分VIP免费

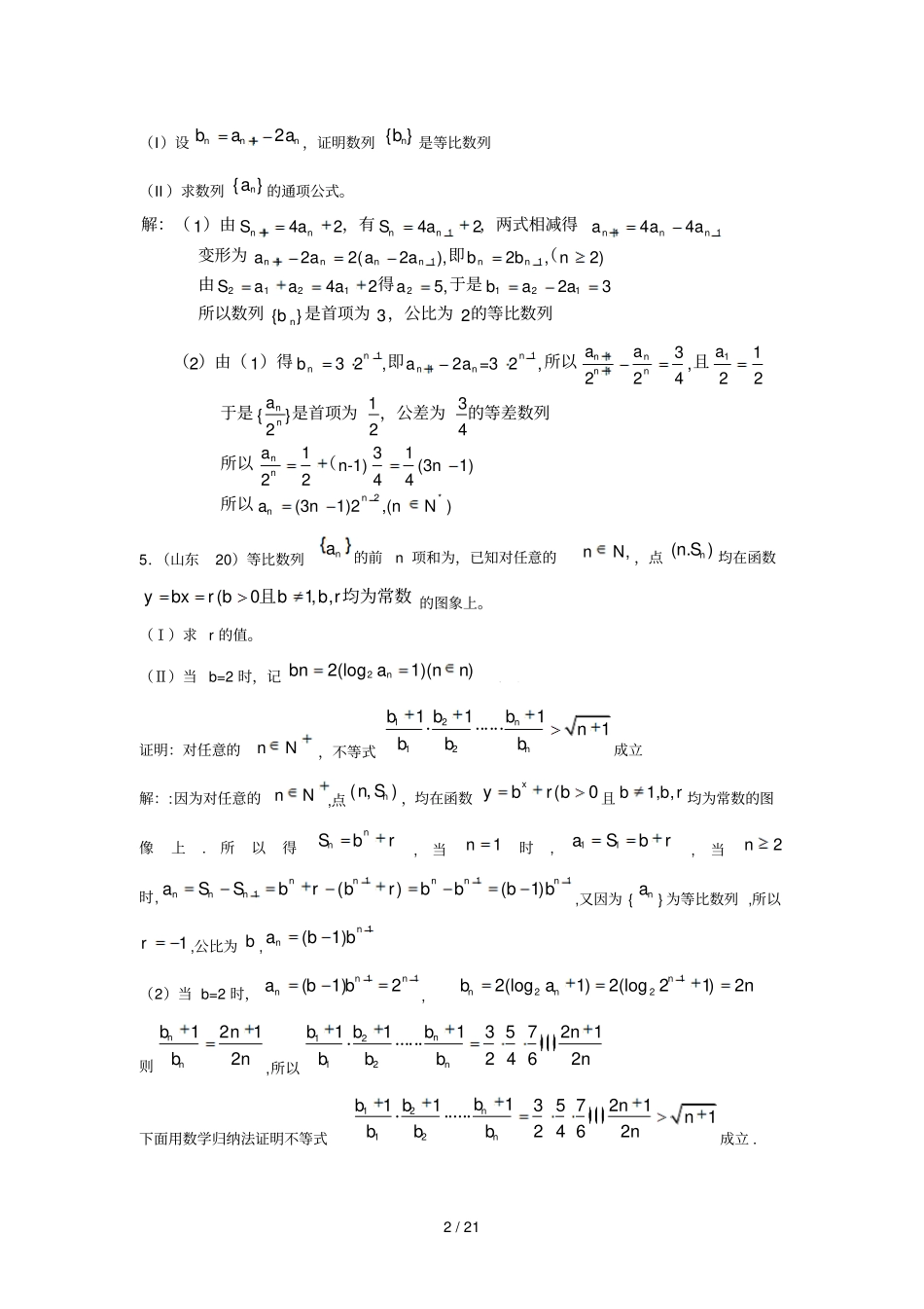
普通高等学校招生全国统一考试理科数学试题数列部分_第1页
1/21
普通高等学校招生全国统一考试理科数学试题数列部分_第2页
2/21
普通高等学校招生全国统一考试理科数学试题数列部分_第3页
3/21
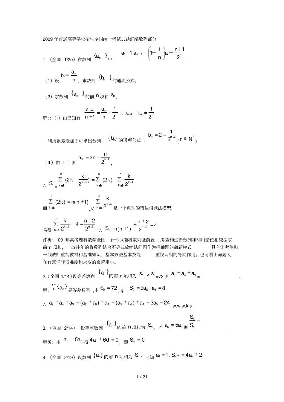
1 / 21 2009 年普通高等学校招生全国统一考试试题汇编数列部分1.(全国 1/20)在数列na中,1111112nnnaaan’+’+==++. (1)设nnabn=,求数列nb的通项公式;(2)求数列na的前 n 项和ns . 解::(I)由已知有1112nnnaann112nnnbb利用累差迭加即可求出数列{}nb的通项公式 : 1122nnb(*nN ) (II )由( I)知122nnnan, nS =11(2)2nkkkk111(2 )2nnkkkkk而1(2 )(1)nkkn n,又11 2nkkk是一个典型的错位相减法模型,易得1112422nknkknnS = (1)n n1242nn评析: 09 年高考理科数学全国(一)试题将数列题前置,考查构造新数列和利用错位相减法求前 n 项和,一改往年的将数列结合不等式放缩法问题作为押轴题的命题模式。具有让考生和一线教师重视教材和基础知识、基本方法基本技能,重视两纲的导向作用。也可看出命题人在有意识降低难度和求变的良苦用心。2.(全国 1/14)设等差数列na的前 n 项和为ns .若9s =72,则249aaa = . 解: na是等差数列 ,由972S,得599,Sa58a2492945645()()324aaaaaaaaaa. w.w.w.k.s 3.(全国 2/14) 设等差数列na的前 n 项和为nS ,若535aa 则45SS. 解析:由53,5aa 得1460ad,即40S4.(全国 2/19)设数列 {}na的前 n 项和为,nS已知11,a142nnSa2 / 21 (I)设12nnnbaa ,证明数列 {}nb是等比数列(II )求数列 {}na的通项公式。111n 11nn 1nn 121212121n14242a44aa2a2(2a),b2b, n2)Saa4a2a5,ba2a3{b }32nnnnnnnnSaSaaa解:( )由,有,两式相减得变形为即(由得于是所以数列是首项为,公比为的等比数列n 1n 1n 1n1n1n 1nnnnnn 2*naaa3121b3 2,a2=3 2,,42222a13{}242a131n-1)(3n1)2442a(3n1)2,(nN )nna( )由( )得即所以且于是是首项为,公差为的等差数列所以(所以5.(山东20)等比数列na的前n 项和为,已知对任意的,nN ,点 ( .)nn S均在函数(01, ,ybxr bbb r且均为常数 的图象上。(Ⅰ)求 r 的值。(Ⅱ)当 b=2 时,记22(log1)()nbnann证明:对任意的nN,不等式1212111·······1nnbbbnbbb成立解::因为对任意的nN,点 ( ,)nn S,均在函数(0xybr b且1, ,bb r 均为常数的图像上.所以得nnSbr,当1n时,11aSbr,当2n时,1111()(1)nnnnnnnnaSSbrbrbbbb,又因为 {na } 为等比数列 ,所以1r,公比为 b ,1(1)nnabb(2)当 b=2 时,11(1)2nnnabb, 1222(log1)2(log 21)2nnnban则1212nnbnbn,所以12121113 5 721···...

1、当您付费下载文档后,您只拥有了使用权限,并不意味着购买了版权,文档只能用于自身使用,不得用于其他商业用途(如 [转卖]进行直接盈利或[编辑后售卖]进行间接盈利)。
2、本站所有内容均由合作方或网友上传,本站不对文档的完整性、权威性及其观点立场正确性做任何保证或承诺!文档内容仅供研究参考,付费前请自行鉴别。
3、如文档内容存在违规,或者侵犯商业秘密、侵犯著作权等,请点击“违规举报”。

碎片内容

普通高等学校招生全国统一考试理科数学试题数列部分

文库响当当+ 关注
实名认证
内容提供者

该用户很懒,什么也没介绍

确认删除?
VIP
微信客服
  • 扫码咨询
会员Q群
  • 会员专属群点击这里加入QQ群
客服邮箱
回到顶部