电脑桌面
添加小米粒文库到电脑桌面
安装后可以在桌面快捷访问

最佳平方逼近多项式正规矩阵病态改进汇总VIP免费

最佳平方逼近多项式正规矩阵病态改进汇总_第1页
1/12
最佳平方逼近多项式正规矩阵病态改进汇总_第2页
2/12
最佳平方逼近多项式正规矩阵病态改进汇总_第3页
3/12
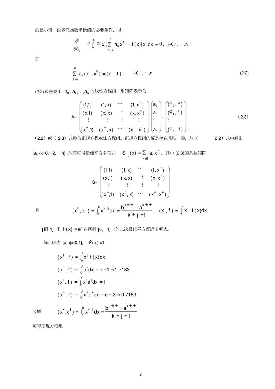
1 最佳平方逼近多项式正规矩阵病态的改进数学与计算机科学学院信息与计算科学专业【摘要】最佳平方逼近多项式正规方程组的系数矩阵经常是病态矩阵, 改善病态矩阵的常见方法: 平衡法 , 中心法和压缩法以及共轭斜量法, 本文对这三种方法的原理及应用做了初步的探讨, 使得对最佳平方逼近的正规矩阵性态的改进有了更深入的理解..【关键词】逼近多项式, 病态矩阵 , 平衡法 , 中心法和压缩变化, 共轭斜量1.引言在现实解决问题中,我们遇到的函数往往各式各样,有些计算复杂,在计算机中不能被直接处理,这时我们希望找一个简单易算的函数y(x) 来逼近原函数 f(x),并使 y( x ) 与 f(x) 之差在某种度量意义下为最小 , 逼近误差的度量标准之一为:2)()()()(dxxyxfxyxfba在这种度量意义下的函数逼近称为均方逼近或平方逼近. 当为最小值时为最佳平方逼近。最佳平方逼近在现实中的应用广泛:比如在电力系统中最佳平方逼近算法, 不仅能准确、 快速地计算出测量信号中的周期分量,计算精度受非周期分量影响小;用最佳逼近逼近来判断在岩士力学中的概率密度等。在最佳平方逼近中,多项式占着重要的位置,因为多项式计算特别简单,计算机能够直接处理,而且多项式有能够一致逼近连续函数的理论结果。我们知道对于求最佳平方逼近多项式中遇到正规方程组的系数矩阵经常是病态, 有两种方式加以解决: 一是利用正交多项式使得正规方程组的系数矩阵是一个对角矩阵 , 从而避开了正规矩阵的病态现象,二是对于正规方程组中的系数病态矩阵进行改善。在文献[1] ,文献 [3] 和文献 [4] 提出了直接求多项式会在高次求法中出现正规方程组病态导致结果不精确,纷纷采用了前者的方法, 而笔者认为后者的方法也是正规矩阵病态改进的有效方法, 值得研究和探讨。2. 最佳平方逼近多项式的正规矩阵及其性态我们研究在区间[a,b] 上的最佳平方逼近问题,对于函数f( x )∈ [ a , b] , 设)(x 为[a,b]上的权函数,若有一不超过n的多项式)( xsn=nkkk xa0,使得min2)]()([)(),(dxxsxfbaxsfsfnnn(2.1)称满足 ( 2.1)式的ns 为)(xf在区间 [a,b]上的 n次最佳平方逼近多项式。该多项式的求解问题等价于求多元函数I(naaa,...,,10)=dxxaxfxnkkkba20])([)(2 的最小值,由多元函数求极值的必要条件,得jaI=20)]([)(0dxxxfxaxjnkkkba,j=0,1, ⋯,n 即),(),(0fxxxajkjnkk,j=0,1,⋯ ,n (2.2) (2.2)式是关于naaa,...,,10的线性方程组,用...

1、当您付费下载文档后,您只拥有了使用权限,并不意味着购买了版权,文档只能用于自身使用,不得用于其他商业用途(如 [转卖]进行直接盈利或[编辑后售卖]进行间接盈利)。
2、本站所有内容均由合作方或网友上传,本站不对文档的完整性、权威性及其观点立场正确性做任何保证或承诺!文档内容仅供研究参考,付费前请自行鉴别。
3、如文档内容存在违规,或者侵犯商业秘密、侵犯著作权等,请点击“违规举报”。

碎片内容

最佳平方逼近多项式正规矩阵病态改进汇总

您可能关注的文档

文库当当响+ 关注
实名认证
内容提供者

该用户很懒,什么也没介绍

确认删除?
VIP
微信客服
  • 扫码咨询
会员Q群
  • 会员专属群点击这里加入QQ群
客服邮箱
回到顶部