电脑桌面
添加小米粒文库到电脑桌面
安装后可以在桌面快捷访问

最小二乘复频域法polymaVIP免费

最小二乘复频域法polyma_第1页
1/6
最小二乘复频域法polyma_第2页
2/6
最小二乘复频域法polyma_第3页
3/6
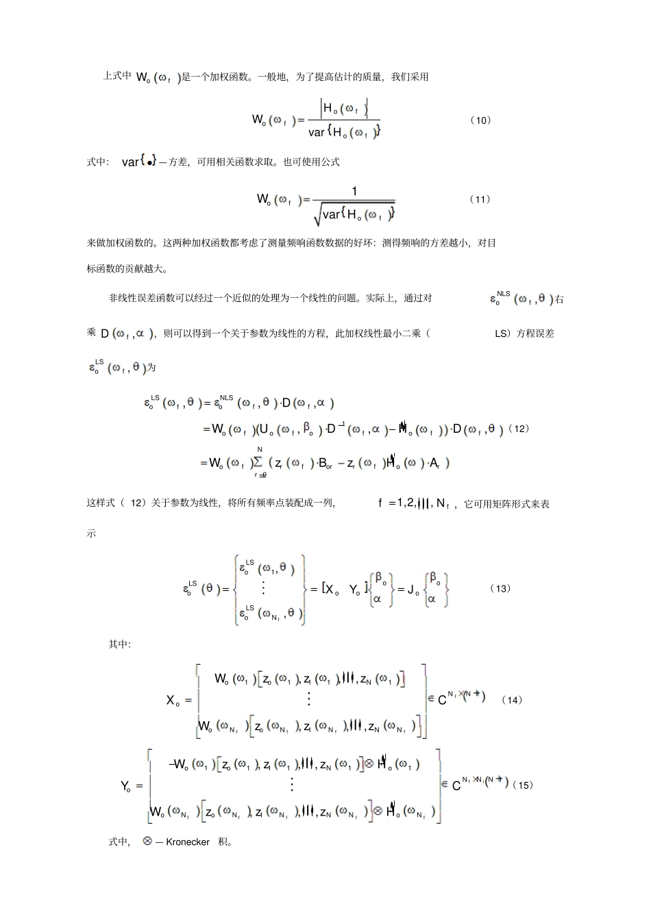
最小二乘复频域法( PolyMax)SX1201069 虞刚PolyMax 模 态 识 别 方 法 , 属 于 多 自 由 度 时 域 识 别 法 , 也 称 作 多 参 考 点 最 小 二 乘 复 频 域 法( Polyreference least squares complex frequency domain method), 是最小二乘复频域法(LSCF)的多输入形式,是一种对极点和模态参预因子进行整体估计的多自由度法, 一般首先通过实验建立稳态图,以判定真实的模态频率、阻尼和参预因子;建立可以线性化的直交矩阵分式模型,然后基于正则方程缩减最小二乘问题, 得到压缩正则方程, 于是模态参数可以通过求解最小二乘问题得到。该方法集合了多参考点法和LSCF方法的优点 , 可以得出非常清晰的稳态图, 并且密集空间可以被分离出来,尤其在模态较密集的系统( 动力总成系统) ,或者 FRF数据受到严重噪声污染的情况下仍可以建立清晰的稳态图,识别出高度密集的模态,对每一个模态的频率、阻尼和振型都有很好的识别精度, 是国际最新发展并流行的基于传递函数的模态分析方法。其基本思想如下:(1)建立频率响应函数模型多参考点最小二乘复频域识别技术( PRLSCF或 PolyMAX)要以频响函数矩阵作为识别的初始数据,其数学模型采用右矩阵分式模型来描述。在频域中,系统输出o(0,2,1No, 其中0N 为输出点数)和全部输入的关系可用右矩阵分式模型(RMFD)来描述,右矩阵分式模型的表达式为1DUHoo(1)式中:iNloCH—理论频响函数的第o 行,iN 是输入点数,即激励数;iNloCU—分子多项式行向量;iiNNoCD—分母多项式矩阵。且oU和oD可以表示成如下形式:NrorroBZU0(0,2,1No)(2)NrrroAZD0(3)式中: N —多项式阶次其中分母系数矩阵iiNNrRA和分子系数行向量iNlorRB是待估计的参数。所有这些系数合并为一个矩阵。TTTNT1(4)其中iNNoNoooRBBB110,iiNNNNoRAAA110(5)式( 2)和式( 3)中出现的多项式基函数rZ,一般地,有以下两种选择:ⅰ. 对于连续时域模型,可取为jsriZ(6)式中:21iNs—缩放因子,用来提高方程的数值状况。ⅱ. 对于离散时域模型,可取为srTjreZ(7)式中:sT —采样周期。通常采用离散时域模型。(2)参数的线性化通过试验测量出的频率响应函数矩阵ioNNfCH~,用iNfoCH1~表示实测频响矩阵的第 o 行,foNfNo,,2,1,,,2,1,那么关于参数矩阵的非线性最小二乘(NLS)目标函数可表示为ofNoNffNLSoHfNLSonlstr11,,(8)式中:H -矩阵的复共扼转置;tr-矩阵...

1、当您付费下载文档后,您只拥有了使用权限,并不意味着购买了版权,文档只能用于自身使用,不得用于其他商业用途(如 [转卖]进行直接盈利或[编辑后售卖]进行间接盈利)。
2、本站所有内容均由合作方或网友上传,本站不对文档的完整性、权威性及其观点立场正确性做任何保证或承诺!文档内容仅供研究参考,付费前请自行鉴别。
3、如文档内容存在违规,或者侵犯商业秘密、侵犯著作权等,请点击“违规举报”。

碎片内容

最小二乘复频域法polyma

您可能关注的文档

确认删除?
VIP
微信客服
  • 扫码咨询
会员Q群
  • 会员专属群点击这里加入QQ群
客服邮箱
回到顶部