电脑桌面
添加小米粒文库到电脑桌面
安装后可以在桌面快捷访问

通信原理实验数字基带传输仿真实验VIP免费

通信原理实验数字基带传输仿真实验_第1页
1/40
通信原理实验数字基带传输仿真实验_第2页
2/40
通信原理实验数字基带传输仿真实验_第3页
3/40
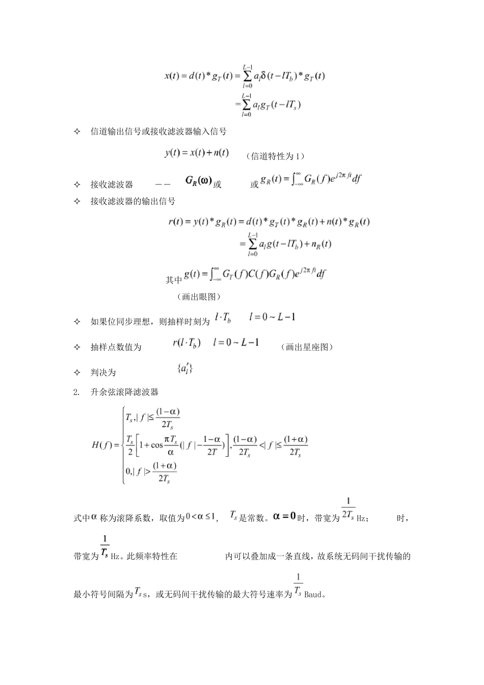
数字基带传输实验 实验报告 一、实验目的 1、提高独立学习的能力; 2、培养发现问题、解决问题和分析问题的能力; 3、学习Matlab 的使用; 4、掌握基带数字传输系统的仿真方法; 5、熟悉基带传输系统的基本结构; 6、掌握带限信道的仿真以及性能分析; 7、通过观测眼图和星座图判断信号的传输质量。 二、系统框图及编程原理 1. 带限信道的基带系统模型(连续域分析)  输入符号序列 ――  发送信号 ―― ――比特周期,二进制码元周期  发送 滤 波 器 ―― 或或  发送滤波器输出 ――  信道输出信号或接收滤波器输入信号 (信道特性为1)  接收滤波器 ―― 或 或  接收滤波器的输出信号 其中 (画出眼图)  如果位同步理想,则抽样时刻为  抽样点数值为 (画出星座图)  判决为 2. 升余弦滚降滤波器 式中称为滚降系数,取值为 , 是常数。时,带宽为Hz;时,带宽为Hz。此频率特性在内可以叠加成一条直线,故系统无码间干扰传输的最小符号间隔为s,或无码间干扰传输的最大符号速率为Baud。 相应的时域波形为 此信号满足 在理想信道中, ,上述信号波形在抽样时刻上无码间干扰。 如果传输码元速率满足 ,则通过此基带系统后无码间干扰。 3. 最佳基带系统 将发送滤波器和接收滤波器联合设计为无码间干扰的基带系统,而且具有最佳的抗加性高斯白噪声的性能。 要求接收滤波器的频率特性与发送信号频谱共轭匹配。由于最佳基带系统的总特性是确定的,故最佳基带系统的设计归结为发送滤波器和接收滤波器特性的选择。 设信道特性理想,则有 (延时为0) 有 可选择滤波器长度使其具有线性相位。 如果基带系统为升余弦特性,则发送和接收滤波器为平方根升余弦特性。 由模拟滤波器设计数字滤波器的时域冲激响应 升余弦滤波器(或平方根升余弦滤波器)的带宽为,故其时域抽样速率至少为,取,其中为时域抽样间隔,归一化为1。 抽样后,系统的频率特性是以为周期的,折叠频率为。故在一个周期内以间隔抽样,N 为抽样个数。频率抽样为,。 相应的离散系统的冲激响应为 将上述信号移位,可得因果系统的冲激响应。 5.基带传输系统(离散域分析)  输入符号序列 ――  发送信号 ―― ――比特周期,二进制码元周期  发送滤波器 ―― 或  发送滤波器输出 ――  信道输出信号或接收滤波器输入信号 (信道特性为1)  接收滤波器 ――...

1、当您付费下载文档后,您只拥有了使用权限,并不意味着购买了版权,文档只能用于自身使用,不得用于其他商业用途(如 [转卖]进行直接盈利或[编辑后售卖]进行间接盈利)。
2、本站所有内容均由合作方或网友上传,本站不对文档的完整性、权威性及其观点立场正确性做任何保证或承诺!文档内容仅供研究参考,付费前请自行鉴别。
3、如文档内容存在违规,或者侵犯商业秘密、侵犯著作权等,请点击“违规举报”。

碎片内容

通信原理实验数字基带传输仿真实验

小辰3+ 关注
实名认证
内容提供者

出售各种资料和文档

确认删除?
VIP
微信客服
  • 扫码咨询
会员Q群
  • 会员专属群点击这里加入QQ群
客服邮箱
回到顶部