电脑桌面
添加小米粒文库到电脑桌面
安装后可以在桌面快捷访问

有机化学常用俗名VIP免费

有机化学常用俗名_第1页
1/9
有机化学常用俗名_第2页
2/9
有机化学常用俗名_第3页
3/9
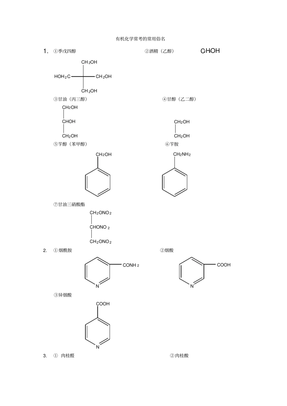
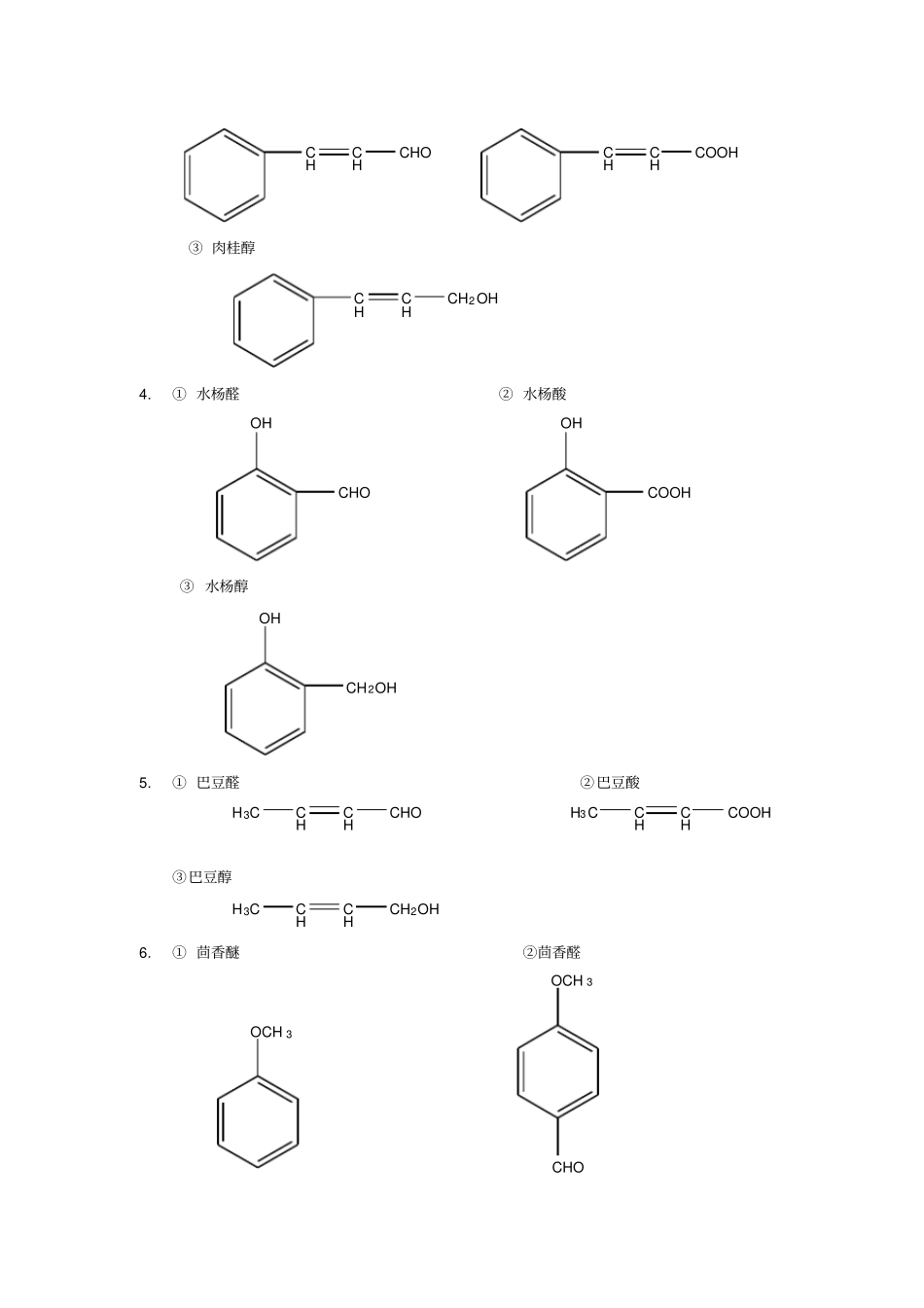
有机化学常考的常用俗名1.①季戊四醇②酒精(乙醇)C2H5OHHOH 2CCH 2OHCH 2OHCH 2OH③甘油(丙三醇)④甘醇(乙二醇)CHOHCH2OHCH2OHCH2OHCH2OH⑤苄醇(苯甲醇)⑥苄胺CH2OHCH2NH2⑦甘油三硝酸酯CHONO 2CH2ONO 2CH2ONO 22.①烟酰胺②烟酸NCONH 2NCOOH③异烟酸NCOOH3.① 肉桂醛②肉桂酸CHCHCHOCHCHCOOH③ 肉桂醇CHCHCH2OH4.① 水杨醛② 水杨酸OHCHOOHCOOH③ 水杨醇OHCH2OH5.① 巴豆醛②巴豆酸CHCHCHOH3CCHCHCOOHH3C③巴豆醇CHCHCH2OHH3C6.① 茴香醚②茴香醛OCH 3OCH 3CHO③茴香酸OCH 3COOH7.① 阿司匹林 (乙酰水杨酸)②PAS(对氨基水杨酸)OCOCH 3COOHCOOHOHNH2③水杨酸甲酯COOCH 3OH8.①丁二酰亚胺② 邻苯二甲酰亚胺NHOONHOO③丙交酰胺④己内酰胺NHHNH3COOCH 3NHO⑤丙交酯OOOCH 3H3CO9.① 碳酸单乙酯②碳酸二乙酯HOCOOEtEtOCOOEt10.① 马来酸②富马酸COOHCOOHHOOCCOOH③富马酸单乙酯④草酸HOOCCOOEtCOOHCOOH(其余羧酸俗名见书上P305)11.①苯丙氨酸②甘氨酸H2CCHCOOHNH2NH 2CH 2COOH(其余见书上 )12.① 哌啶 (六氢吡啶)②哌嗪NHNHHN13.① 甘醇②二甘醇CH 2OHCH 2OHHOCH2CH2OCH 2CH 2OH ③三甘醇HOCH 2CH 2OCH2CH2OCH2CH2OH 14.①酒石酸②柠檬酸CHCOOHCHCOOHHOHOCH2COOHHOCOOHCH2COOH③异柠檬酸CHCOOHHCCOOHCH2COOHHO15.①安息香酸 (苯甲酸)②石炭酸 (苯酚)COOHOH③酞酸④对酞酸COOHCOOHCOOHCOOH16.①乳酸②没食子酸 (五倍子酸)CHCOOHOHH3CCOOHOHOHHO③苹果酸COOHCHOHCH2COOH17.①马来酸酐 (顺丁烯二酸酐)②苯酐 (邻苯二甲酸酐)OOOOOO③乙酐(CH 3CO) 2O18.① 丙二酰脲②光气 (碳酰氯)HNNHOOOCOCl 219.①TNT② 苦味酸CH3NO2NO2O2NOHNO2NO2O2N20.① 噁烷②二噁烷OOO21.① 尿素 (碳酰胺、脲)②六六六CO(NH 2)2 ClClClClClCl③丙酮缩乙二醇④丙酮缩二乙醇OC(CH 3)2O(CH3)2C(OC2H5)222. ①糠醛(2-呋喃甲醛)②糠酸(2-呋喃甲酸)OCHOOCOOH③糠醇(2-呋喃甲醇)OCH2OH(其余杂环化合物见书上P411)23.① 月桂醛② 月桂酸n –C11H23CHO n –C11H23COOH ③ 月桂醇n –C11H23CH2OH24. ①卡宾(碳烯)②重氮甲烷CH2:CH2N2③二氯卡宾④氮烯 CCl2: R - N¨¨25. ①蚁醛(甲醛)②蚁酸(甲酸)HCHO HCOOH ③三聚甲醛④三聚乙醛OOOOOOCH 3H3CCH 326. ①二甲亚砜(DMSO)②二甲砜 (CH3) 2SO (CH3) 2SO2 ③环丁砜SO227.①己二酸( 1,6- ~)②己二胺(同前)CH2CH2COOHCH2CH2COOHCH 2CH2CH 2NH2CH 2CH2CH 2NH2③己二醇(同前)④己二醛(同前)CH2CH2CH 2OHCH2CH2CH 2OHCH2CH2CHOCH2CH2CHO⑤己二腈(同前)CH2CH2CNCH2CH2CN28.①连苯三酚( 1, 2,3- 苯三酚)OHOHOH②偏苯三酚( 1,2,4- 苯三酚)OHOHOH③均苯三酚( 1,3,5- 苯三酚)OHOHHO29.①氟里昂 -12 ②氟里昂 -113 CF2Cl 2 CF2ClCFCl 2 ③香兰素( 4- 羟基 -3- 甲氧基苯甲醛)CHOOHOCH 3

1、当您付费下载文档后,您只拥有了使用权限,并不意味着购买了版权,文档只能用于自身使用,不得用于其他商业用途(如 [转卖]进行直接盈利或[编辑后售卖]进行间接盈利)。
2、本站所有内容均由合作方或网友上传,本站不对文档的完整性、权威性及其观点立场正确性做任何保证或承诺!文档内容仅供研究参考,付费前请自行鉴别。
3、如文档内容存在违规,或者侵犯商业秘密、侵犯著作权等,请点击“违规举报”。

碎片内容

有机化学常用俗名

您可能关注的文档

确认删除?
VIP
微信客服
  • 扫码咨询
会员Q群
  • 会员专属群点击这里加入QQ群
客服邮箱
回到顶部