电脑桌面
添加小米粒文库到电脑桌面
安装后可以在桌面快捷访问

有机化学重排反应汇总VIP免费

有机化学重排反应汇总_第1页
1/23
有机化学重排反应汇总_第2页
2/23
有机化学重排反应汇总_第3页
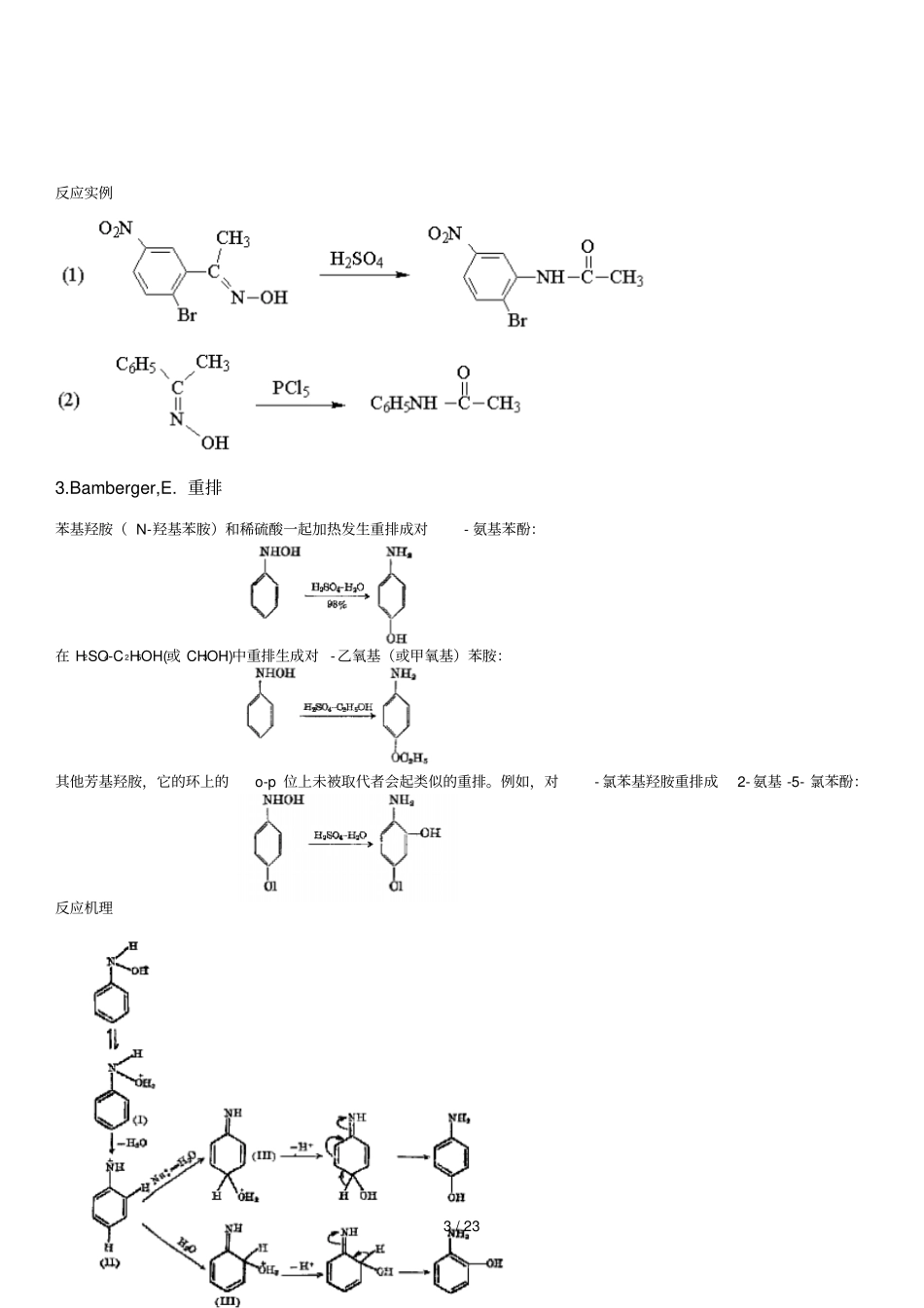
3/23
1 / 23 有机化学重排反应总结1.Claisen克莱森重排烯丙基芳基醚在高温(200 ° C)下可以重排,生成烯丙基酚。当烯丙基芳基醚的两个邻位未被取代基占满时,重排主要得到邻位产物,两个邻位均被取代基占据时,重排得到对位产物。对位、邻位均被占满时不发生此类重排反应。交叉反应实验证明:Claisen重排是分子内的重排。采用 g- 碳 14C 标记的烯丙基醚进行重排,重排后 g- 碳原子与苯环相连,碳碳双键发生位移。两个邻位都被取代的芳基烯丙基酚,重排后则仍是a- 碳原子与苯环相连。反应机理Claisen 重排是个协同反应,中间经过一个环状过渡态,所以芳环上取代基的电子效应对重排无影响。从烯丙基芳基醚重排为邻烯丙基酚经过一次[3,3]s 迁移和一次由酮式到烯醇式的互变异构;两个邻位都被取代基占据的烯丙基芳基酚重排时先经过一次[3,3]s 迁移到邻位 (Claisen 重排 ) ,由于邻位已被取代基占据,无法发生互变异构,接着又发生一次[3,3]s 迁移 (Cope 重排 ) 到对位,然后经互变异构得到对位烯丙基酚。取代的烯丙基芳基醚重排时,无论原来的烯丙基双键是Z- 构型还是 E-构型,重排后的新双键的构型都是E-型,这是因为重排反应所经过的六员环状过渡态具有稳定椅式构象的缘故。2 / 23 反应实例Claisen 重排具有普遍性,在醚类化合物中,如果存在烯丙氧基与碳碳相连的结构,就有可能发生Claisen 重排。2.Beckmann贝克曼重排肟在酸如硫酸、多聚磷酸以及能产生强酸的五氯化磷、三氯化磷、苯磺酰氯、亚硫酰氯等作用下发生重排,生成相应的取代酰胺,如环己酮肟在硫酸作用下重排生成己内酰胺:反应机理在酸作用下,肟首先发生质子化,然后脱去一分子水,同时与羟基处于反位的基团迁移到缺电子的氮原子上,所形成的碳正离子与水反应得到酰胺。迁移基团如果是手性碳原子,则在迁移前后其构型不变,例如:3 / 23 反应实例3.Bamberger,E. 重排苯基羟胺( N-羟基苯胺)和稀硫酸一起加热发生重排成对- 氨基苯酚:在 H2SO4-C2H5OH(或 CH3OH)中重排生成对 -乙氧基(或甲氧基)苯胺:其他芳基羟胺,它的环上的o-p 位上未被取代者会起类似的重排。例如,对- 氯苯基羟胺重排成2- 氨基 -5- 氯苯酚:反应机理4 / 23 反应实例4.Cope 库伯重排1,5- 二烯类化合物受热时发生类似于 O- 烯丙基重排为 C- 烯丙基的重排反应(Claisen 重排 ) 反应称为 Cope重排。这个反应 30 多年来引起人们的广泛注意。1,5- 二烯在 150—...

1、当您付费下载文档后,您只拥有了使用权限,并不意味着购买了版权,文档只能用于自身使用,不得用于其他商业用途(如 [转卖]进行直接盈利或[编辑后售卖]进行间接盈利)。
2、本站所有内容均由合作方或网友上传,本站不对文档的完整性、权威性及其观点立场正确性做任何保证或承诺!文档内容仅供研究参考,付费前请自行鉴别。
3、如文档内容存在违规,或者侵犯商业秘密、侵犯著作权等,请点击“违规举报”。

碎片内容

有机化学重排反应汇总

确认删除?
VIP
微信客服
  • 扫码咨询
会员Q群
  • 会员专属群点击这里加入QQ群
客服邮箱
回到顶部