电脑桌面
添加小米粒文库到电脑桌面
安装后可以在桌面快捷访问

2014年浙江高考理科数学试题逐题详解(纯word解析版)VIP专享VIP免费

2014年浙江高考理科数学试题逐题详解(纯word解析版)_第1页
1/11
2014年浙江高考理科数学试题逐题详解(纯word解析版)_第2页
2/11
2014年浙江高考理科数学试题逐题详解(纯word解析版)_第3页
3/11
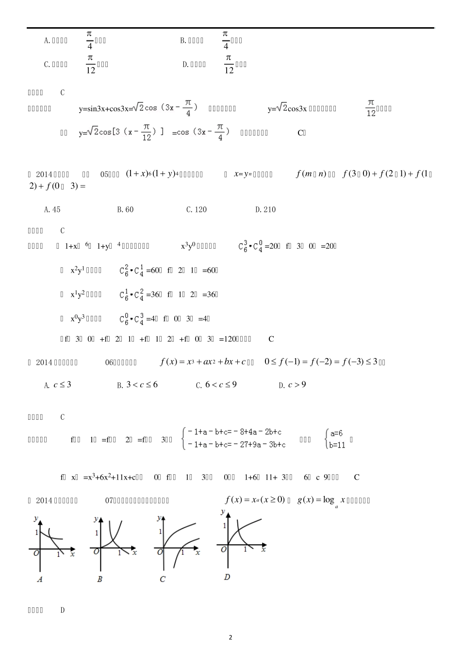
1 2014 年浙江高考理科数学试题逐题详解 (纯word 解析版) 一、选择题:本大题共10 小题,每小题5 分,共50 分 .在每小题给出的四个选项中,只有一项是符合题目要求的. 【 2014 年浙江卷(理01)】设全集{|2}Ux N x,集合2{|5}Ax N x,则U A ð A.  B.{2} C.{5} D.{2 , 5} 【答案】B 【解析】全集U={x∈N|x≥2} ,集合A={x∈N|x2≥5} ={x∈N|x≥3} ,则∁UA={x∈N|x< 3} ={2} ,故选:B 【 2014 年浙江卷(理02)】已知i 是虚数单位,a 、 bR,则“1ab”是“2()2abii”的 A.充分不必要条件 B.必要不充分条件 C.充分必要条件 D.既不充分也不必要条件 【答案】A 【解析】当“a=b=1”时,“( a+bi) 2=( 1+i) 2=2i”成立, 故 “a=b=1”是 “( a+bi) 2=2i”的充分条件; 当 “( a+bi) 2=a2﹣ b2+2abi=2i”时,“a=b=1”或 “a=b=﹣ 1”, 故 “a=b=1”是 “( a+bi) 2=2i”的不必要条件; 综上所述,“a=b=1”是 “( a+bi) 2=2i”的充分不必要条件; 【 2014 年浙江卷(理03)】某几何体的三视图(单位:cm )如图所示,则此几何体的表面积是 A.902cm B.1292cm C.1322cm D.1382cm 【答案】D 【解析】由三视图知:几何体是直三棱柱与直四棱柱的组合体,其中直三棱柱的侧棱长为3, 底面是直角边长分别为3、 4 的直角三角形,四棱柱的高为6,底面为矩形,矩形的两相邻边长为3 和 4, ∴几何体的表面积S=2×4×6+3×6+3×3+2×3×4+2× ×3×4+( 4+5) ×3=48+18+9+24+12+27=138( cm2). 【 2014 年浙江卷(理04)】为了得到函数sin 3cos3yxx的图象,可以将函数2 sin3yx的图象 2 A.向右平移4个单位 B.向左平移4个单位 C.向右平移12个单位 D.向左平移12个单位 【答案】C 【解析】函数y=sin3x+cos3x=,故只需将函数y=cos3x 的图象向右平移个单位, 得到y==的图象.故选:C. 【 2014 年浙江卷(理05)】在64(1) (1)xy的展开式中,记mnx y 项的系数为(f m , )n ,则(3f,0)(2f,1)(1f,2)(0f, 3)  A.45 B.60 C.120 D.210 【答案】C 【解析】( 1+x) 6( 1+y) 4 的展开式中,含x3y0 的系数是:=20. f( 3, 0) =20; 含 x2y1 的系数是=60, f( 2, 1) =60; 含 x1y2 的系数是=36, f( 1, 2) =36; 含 x0y3 的系数是...

1、当您付费下载文档后,您只拥有了使用权限,并不意味着购买了版权,文档只能用于自身使用,不得用于其他商业用途(如 [转卖]进行直接盈利或[编辑后售卖]进行间接盈利)。
2、本站所有内容均由合作方或网友上传,本站不对文档的完整性、权威性及其观点立场正确性做任何保证或承诺!文档内容仅供研究参考,付费前请自行鉴别。
3、如文档内容存在违规,或者侵犯商业秘密、侵犯著作权等,请点击“违规举报”。

碎片内容

2014年浙江高考理科数学试题逐题详解(纯word解析版)

确认删除?
VIP
微信客服
  • 扫码咨询
会员Q群
  • 会员专属群点击这里加入QQ群
客服邮箱
回到顶部