电脑桌面
添加小米粒文库到电脑桌面
安装后可以在桌面快捷访问

2015年AP考试真题解析(宏观。微观经济学FR部分)VIP免费

2015年AP考试真题解析(宏观。微观经济学FR部分)_第1页
1/15
2015年AP考试真题解析(宏观。微观经济学FR部分)_第2页
2/15
2015年AP考试真题解析(宏观。微观经济学FR部分)_第3页
3/15
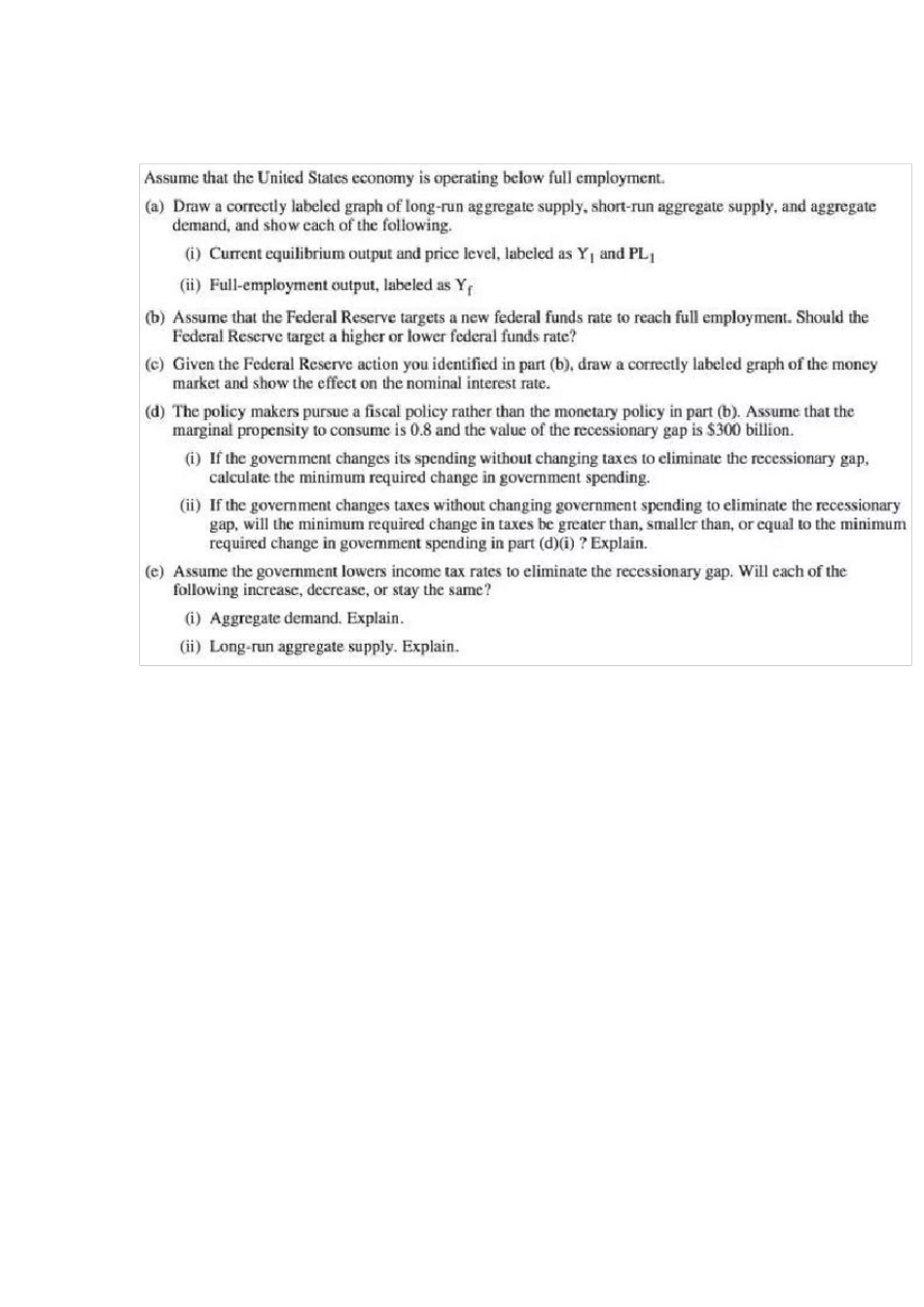
2015 年 AP 考 试 真 题 解 析 (宏 观 经 济 学 FR 部 分 ) AP 宏 观 经 济 学 的 FR 题 目 每 年 都 是 三 道 题 , 其 中 第 一 题 问 到 的 内 容 也 相 对较 多 , 所 占 比 重 比 较 高 , 总 分 30 分 的 简 答 题 中 , 第 一 题 占 到 了 将 近 一 半 的 分 值 。 AP 宏 观 经 济 学 的 FR 真 题 每 年 涉 及 的 知 识 点 大 同 小 异 , 包 括 AD-AS、 菲 利普 斯 曲 线 、 货 币 市 场 、 可 贷 资 金 市 场 、 外 汇 市 场 等 模 型 , 同 时 会 涉 及 到 财 政 政 策 、货 币 政 策 和 国 际 贸 易 等 政 策 性 内 容 。 “2015 年 AP 宏 观 经 济 学 考 试 涉 及 的 考 点还是 基本沿袭了 之前的 风格, AD-AS 模 型 、 可 贷 资 金 市 场 、 货 币 市 场 、 外 汇 市场 都 有所 涉 及 , 重 要的 图形中 唯一 没有考 到 的 是 菲 利 普 斯 曲 线 , 财 政 政 策 和 货 币政 策 也 都 考 到 了 , 相 对 冷门的 考 点 是 第 二题 中 的 国 际 贸 易 。 另外 , 三 道 题 中 都 可以看出每 一 小 问 之间的 连带性 , 很多 时 候某一 问 做错了 , 后面连续就都 做错了 ,这也 是 让考 生们头疼的 地方。 大 家在 2016 年 的 AP 宏 观 经 济 学 考 试 中 , 一 定要特别注意这种题 目 之间的 连带性 , 每 问 得出结论是 都 要格外 仔细。 第 一题 这 是 一 道 非 常 非 常 典 型 的 AP 宏 观 经 济 学 FR 第 一 题 , 涉 及 到 了 一 个 国 家 的运 行 以 及 如 何 使 用 政 策 改 变 现 在 的 运 行 状 态 。 第 一 问:几乎每年都会让考生用 AD-AS 模型 画出一 个 国 家 的 运 行 状 态 。题目中说到 美国 的 经 济 正运 行 在 充分就业以 下, 说明国 家 正处在 衰退状 态 , 这 时在AD-AS 模型 中, 我们要把长期 AS 曲线画在 短期 AS 与 AD 曲线交点的 右方, 如下图: *注意横纵轴要写实际 GDP 和价格水平, 短期均衡点对应 Y1, 而长期 AS 对应Yf 第 二 问 : 说 到 美 联 储 想 ...

1、当您付费下载文档后,您只拥有了使用权限,并不意味着购买了版权,文档只能用于自身使用,不得用于其他商业用途(如 [转卖]进行直接盈利或[编辑后售卖]进行间接盈利)。
2、本站所有内容均由合作方或网友上传,本站不对文档的完整性、权威性及其观点立场正确性做任何保证或承诺!文档内容仅供研究参考,付费前请自行鉴别。
3、如文档内容存在违规,或者侵犯商业秘密、侵犯著作权等,请点击“违规举报”。

碎片内容

2015年AP考试真题解析(宏观。微观经济学FR部分)

小辰6+ 关注
实名认证
内容提供者

出售各种资料和文档

确认删除?
VIP
微信客服
  • 扫码咨询
会员Q群
  • 会员专属群点击这里加入QQ群
客服邮箱
回到顶部