电脑桌面
添加小米粒文库到电脑桌面
安装后可以在桌面快捷访问

2016六年级数学毕业总复习应用题大全VIP免费

2016六年级数学毕业总复习应用题大全_第1页
1/14
2016六年级数学毕业总复习应用题大全_第2页
2/14
2016六年级数学毕业总复习应用题大全_第3页
3/14
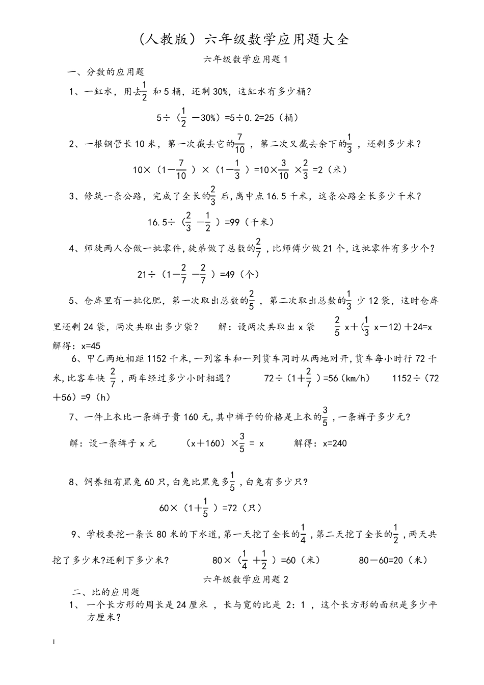
1 (人教版)六年级数学应用题大全 六年级数学应用题1 一、分数的应用题 1、一缸水,用去12 和5 桶,还剩30%,这缸水有多少桶? 5÷(12 -30%)=5÷0.2=25(桶) 2、一根钢管长10 米,第一次截去它的710 ,第二次又截去余下的13 ,还剩多少米? 10×(1-710 )×(1-13 )=10× 310 ×23 =2(米) 3、修筑一条公路,完成了全长的23 后,离中点 16.5 千米,这条公路全长多少千米? 16.5÷(23 -12 )=99(千米) 4、师徒两人合做一批零件,徒弟做了总数的27 ,比师傅少做 21 个,这批零件有多少个? 21÷(1-27 -27 )=49(个) 5、仓库里有一批化肥,第一次取出总数的25 ,第二次取出总数的13 少12 袋,这时仓库里还剩24 袋,两次共取出多少袋? 解:设两次共取出 x 袋 25 x+(13 x-12)+24=x 解得:x=45 6、甲乙两地相距 1152 千米,一列客车和一列货车同时从两地对开,货车每小时行 72 千米,比客车快 27 ,两车经过多少小时相遇? 72÷(1+27 )=56(km/h) 1152÷(72+56)=9(h) 7、一件上衣比一条裤子贵 160 元,其中裤子的价格是上衣的35 ,一条裤子多少元? 解:设一条裤子 x 元 (x+160)×35 = x 解得:x=240 8、饲养组有黑兔 60 只,白兔比黑兔多15 ,白兔有多少只? 60×(1+15 )=72(只) 9、学校要挖一条长80 米的下水道,第一天挖了全长的14 ,第二天挖了全长的12 ,两天共挖了多少米?还剩下多少米? 80×(14 +12 )=60(米) 80-60=20(米) 六年级数学应用题2 二、比的应用题 1、 一个长方形的周长是 24 厘米 ,长与宽的比是 2:1 ,这个长方形的面积是多少平方厘米? 2 24÷2÷(2+1)=4(cm) (4×2)×(4×1)=32(cm2) 2、 一个长方体棱长总和为 96 厘米 ,长、宽、高的比是 3∶2 ∶1 ,这个长方体的体积是多少? 96÷4÷(3+2+1)=4(cm) (4×3)×(4×2)×(4×1)=384(cm3) 3、 一个长方体棱长总和为 96 厘米 ,高为 4 厘米 ,长与宽的比是 3 ∶2 ,这个长方体的体积是多少? ( 96-4×4) ÷4÷(3+2)=4(cm) (4×3)×(4×2)×4=384(cm3) 4、某校参加电脑兴趣小组的有 42 人,其中男、女生人数的比是 4 ∶3,男生有多少人? 42÷(4+3)×4=24(人) 5、有两筐水果,甲筐水果重 32 千克,从乙筐取出 20%后,甲乙两筐水果的重量比是4:3,原来两筐水果共有多少千克? 解:设原来两...

1、当您付费下载文档后,您只拥有了使用权限,并不意味着购买了版权,文档只能用于自身使用,不得用于其他商业用途(如 [转卖]进行直接盈利或[编辑后售卖]进行间接盈利)。
2、本站所有内容均由合作方或网友上传,本站不对文档的完整性、权威性及其观点立场正确性做任何保证或承诺!文档内容仅供研究参考,付费前请自行鉴别。
3、如文档内容存在违规,或者侵犯商业秘密、侵犯著作权等,请点击“违规举报”。

碎片内容

2016六年级数学毕业总复习应用题大全

确认删除?
VIP
微信客服
  • 扫码咨询
会员Q群
  • 会员专属群点击这里加入QQ群
客服邮箱
回到顶部