电脑桌面
添加小米粒文库到电脑桌面
安装后可以在桌面快捷访问

椭圆、双曲线。抛物线典型例题整理VIP专享VIP免费

椭圆、双曲线。抛物线典型例题整理_第1页
1/9
椭圆、双曲线。抛物线典型例题整理_第2页
2/9
椭圆、双曲线。抛物线典型例题整理_第3页
3/9
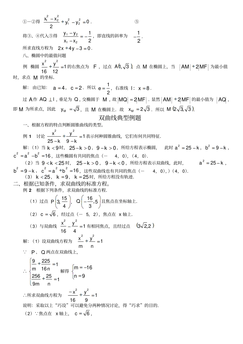
椭圆典型例题一、已知椭圆焦点的位置,求椭圆的标准方程。例 1:已知椭圆的焦点是F1(0,- 1)、F 2(0,1),P 是椭圆上一点,并且PF 1+PF2=2F1F2,求椭圆的标准方程。解: 由 PF1+PF2=2F1F2=2×2=4,得 2a=4.又 c=1,所以 b2=3. 所以椭圆的标准方程是 y24 +x23 =1. 2.已知椭圆的两个焦点为F1(-1,0),F 2(1,0),且 2a=10,求椭圆的标准方程.解: 由椭圆定义知c=1,∴ b=52- 1=24. ∴椭圆的标准方程为x225+ y224=1.二、未知椭圆焦点的位置,求椭圆的标准方程。例: 1. 椭圆的一个顶点为02,A,其长轴长是短轴长的2 倍,求椭圆的标准方程.解:(1)当02,A为长轴端点时,2a,1b,椭圆的标准方程为:11422yx;(2)当02,A为短轴端点时,2b,4a,椭圆的标准方程为:116422yx;三、椭圆的焦点位置由其它方程间接给出,求椭圆的标准方程。例.求过点 (-3,2)且与椭圆 x29+y24= 1 有相同焦点的椭圆的标准方程.解: 因为c2=9-4= 5,所以设所求椭圆的标准方程为x2a2+y2a2-5=1. 由点 ( -3,2) 在椭圆上知9a2+4a2- 5=1,所以 a2=15. 所以所求椭圆的标准方程为x215+ y210=1.四、与直线相结合的问题,求椭圆的标准方程。例:已知中心在原点,焦点在x 轴上的椭圆与直线01yx交于 A 、 B 两点, M 为 AB 中点, OM 的斜率为 0.25,椭圆的短轴长为2,求椭圆的方程.解: 由题意,设椭圆方程为1222yax,由101222yaxyx,得021222xaxa,∴222112aaxxxM,2111axyMM,4112axykMMOM,∴42a,∴1422yx为所求.五、求椭圆的离心率问题。例 1 一个椭圆的焦点将其准线间的距离三等分,求椭圆的离心率.解:31222cac∴223ac,∴3331e.例 2 已知椭圆19822ykx的离心率21e,求 k 的值.解: 当椭圆的焦点在x 轴上时,82ka,92b,得12kc.由21e,得4k.当椭圆的焦点在y 轴上时,92a,82kb,得kc12.由21e,得4191k,即45k.∴满足条件的4k或45k.六、由椭圆内的三角形周长、面积有关的问题例: 1.若△ ABC 的两个顶点坐标A(-4,0),B(4,0),△ ABC 的周长为 18,求顶点 C 的轨迹方程。解:顶点 C 到两个定点 A,B 的距离之和为定值10,且大于两定点间的距离,因此顶点 C 的轨迹为椭圆,并且2a=10,所以 a=5,2c=8,所以 c=4,所以b2=a2-c2=9,故顶点 C 的轨迹方程为 x225+y29=1.又 A、B、C 三点构成三角形,所以 y≠0.所以顶点 C 的轨迹方程为...

1、当您付费下载文档后,您只拥有了使用权限,并不意味着购买了版权,文档只能用于自身使用,不得用于其他商业用途(如 [转卖]进行直接盈利或[编辑后售卖]进行间接盈利)。
2、本站所有内容均由合作方或网友上传,本站不对文档的完整性、权威性及其观点立场正确性做任何保证或承诺!文档内容仅供研究参考,付费前请自行鉴别。
3、如文档内容存在违规,或者侵犯商业秘密、侵犯著作权等,请点击“违规举报”。

碎片内容

椭圆、双曲线。抛物线典型例题整理

确认删除?
VIP
微信客服
  • 扫码咨询
会员Q群
  • 会员专属群点击这里加入QQ群
客服邮箱
回到顶部