电脑桌面
添加小米粒文库到电脑桌面
安装后可以在桌面快捷访问

[微积分初步]形考作业14答案VIP免费

[微积分初步]形考作业14答案_第1页
1/16
[微积分初步]形考作业14答案_第2页
2/16
[微积分初步]形考作业14答案_第3页
3/16
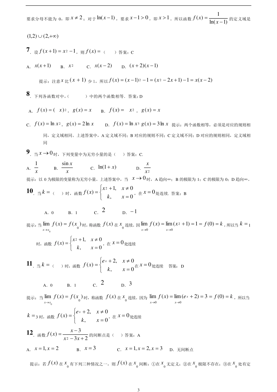
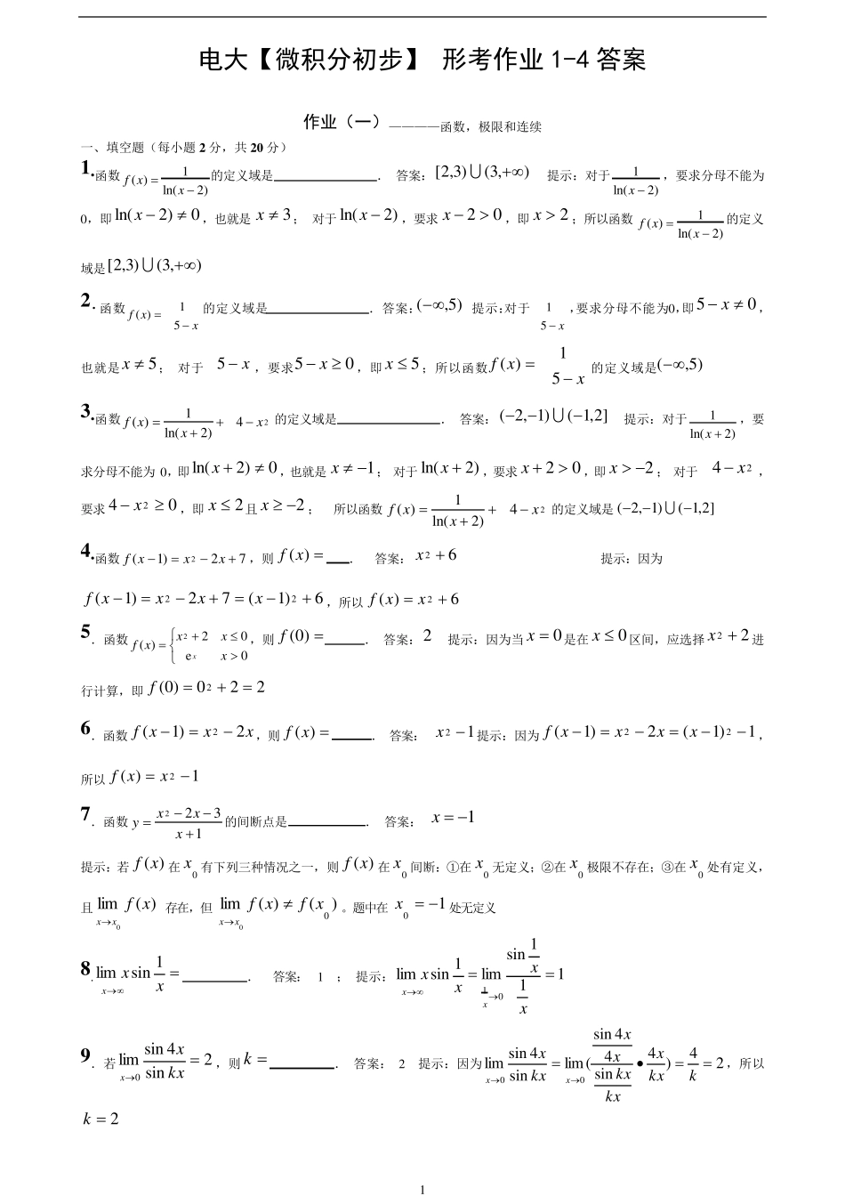
1 电大【微积分初步】 形考作业 1-4 答案 作业(一)————函数,极限和连续 一、填空题(每小题 2 分,共 2 0 分) 1 .函数)2ln(1)(xxf的定义域是 . 答案:),3()3,2[ 提示:对于)2ln(1x,要求分母不能为0,即0)2ln(x,也就是3x; 对于)2ln( x,要求02 x,即2x;所以函数)2ln(1)(xxf的定义域是),3()3,2[ 2 .函数xxf51)(的定义域是 . 答案:)5,( 提示:对于x51,要求分母不能为0,即05 x,也就是5x; 对于x5,要求05 x,即5x;所以函数xxf51)(的定义域是)5,( 3 .函数24)2ln(1)(xxxf的定义域是 . 答案:]2,1()1,2( 提示:对于)2ln(1x,要求分母不能为 0,即0)2ln(x,也就是1x; 对于)2ln( x,要求02 x,即2x; 对于24x,要求042  x,即2x且2x; 所以函数24)2ln(1)(xxxf的定义域是]2,1()1,2( 4 .函数72)1(2xxxf,则)(xf . 答案:62 x 提示:因为6)1(72)1(22xxxxf,所以6)(2  xxf 5 .函数0e02)(2xxxxfx,则)0(f . 答案:2 提示:因为当0x是在0x区间,应选择22 x进行计算,即220)0(2f 6 .函数xxxf2)1(2 ,则)(xf . 答案: 12 x提示:因为1)1(2)1(22xxxxf,所以1)(2  xxf 7 .函数1322xxxy的间断点是 . 答案: 1x 提示:若)(xf在0x有下列三种情况之一,则)(xf在0x间断:①在0x无定义;②在0x极限不存在;③在0x处有定义,且)(lim0xfxx  存在,但)()(lim00xfxfxx。题中在10x处无定义 8 .xxx1sinlim . 答案: 1 ; 提示:111sinlim1sinlim01xxxxxx 9 .若2sin4sinlim0k xxx,则k . 答案: 2 提示:因为24)4sin44sin(limsin4sinlim00•kk xxk xk xxxk xxxx,所以2k 2 1 0 .若23sinlim0k xxx,则k . 答案: 1.5;提示:因为23333sinlim3sinlim00•kxk xxxk xxxx,所以5.1k 二、单项选择题(每小题 2 分,共 2 4 分) 1 .设函数2eexxy,则该函数是( ).答案:B A.奇函数 B.偶函数 C.非奇非偶函数 D.既奇又偶函数 提示:奇函数是指)()(xfxf,关于坐标原点对称;偶函数是指)()(xfxf,关...

1、当您付费下载文档后,您只拥有了使用权限,并不意味着购买了版权,文档只能用于自身使用,不得用于其他商业用途(如 [转卖]进行直接盈利或[编辑后售卖]进行间接盈利)。
2、本站所有内容均由合作方或网友上传,本站不对文档的完整性、权威性及其观点立场正确性做任何保证或承诺!文档内容仅供研究参考,付费前请自行鉴别。
3、如文档内容存在违规,或者侵犯商业秘密、侵犯著作权等,请点击“违规举报”。

碎片内容

[微积分初步]形考作业14答案

您可能关注的文档

小辰+ 关注
实名认证
内容提供者

出售各种文档和资料

确认删除?
VIP
微信客服
  • 扫码咨询
会员Q群
  • 会员专属群点击这里加入QQ群
客服邮箱
回到顶部