电脑桌面
添加小米粒文库到电脑桌面
安装后可以在桌面快捷访问

人眼视觉函数1924和修改版VIP免费

人眼视觉函数1924和修改版_第1页
1/9
人眼视觉函数1924和修改版_第2页
2/9
人眼视觉函数1924和修改版_第3页
3/9
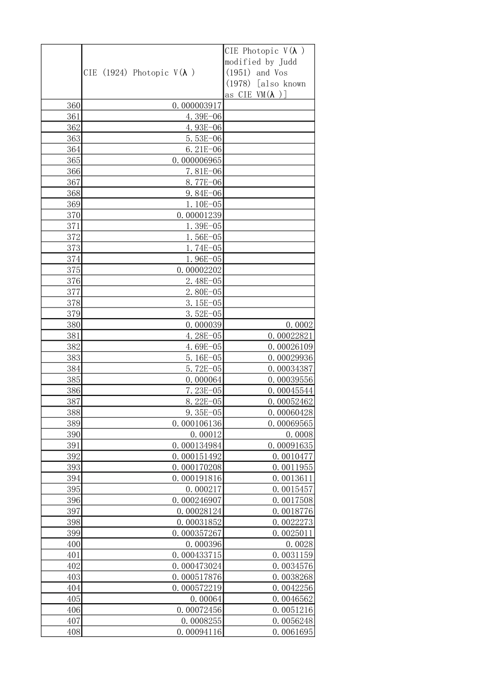
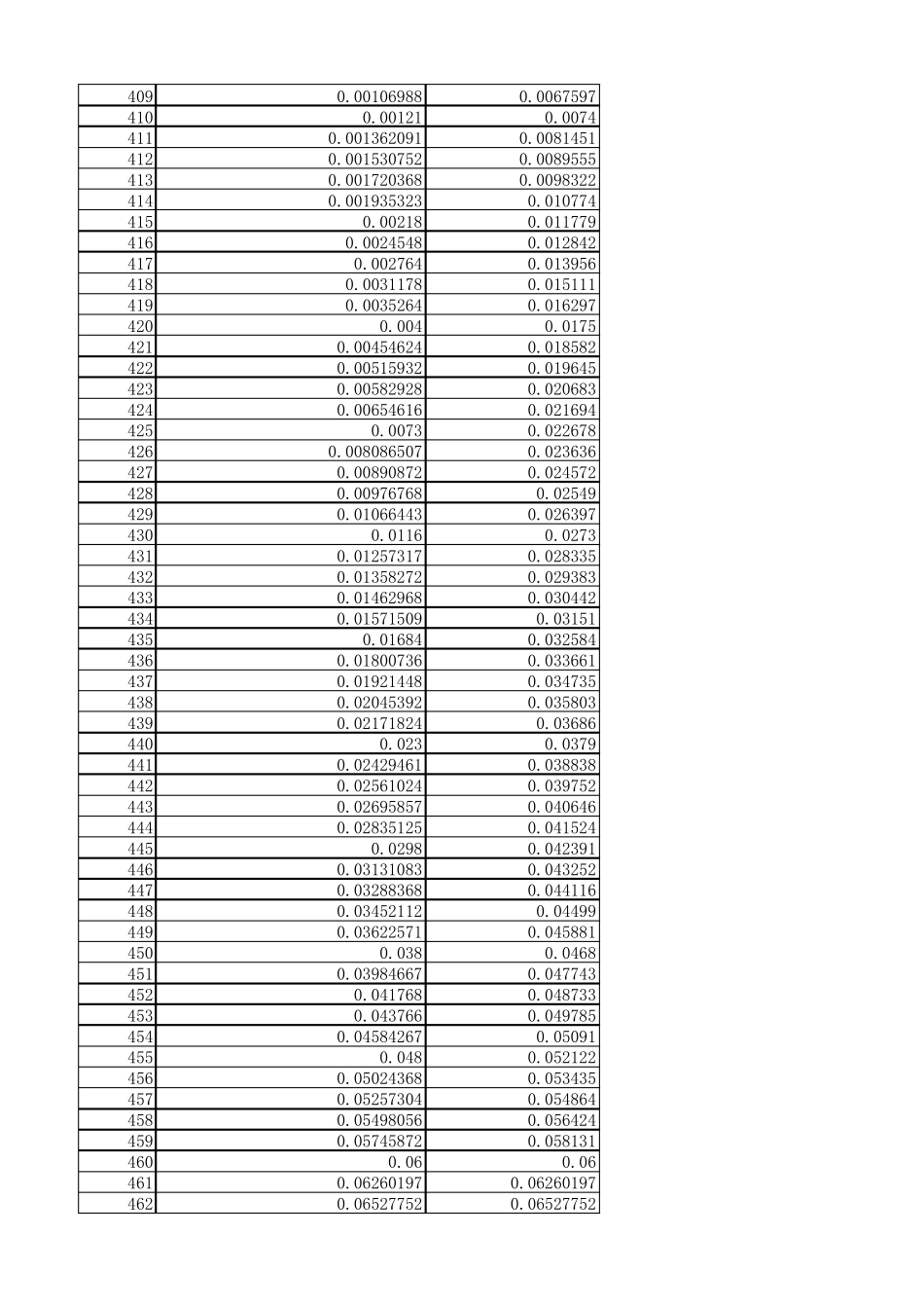
CIE (1924) Photopic V(λ )CIE Photopic V(λ )modified by Judd(1951) and Vos(1978) [also knownas CIE VM(λ )]3600.0000039173614.39E-063624.93E-063635.53E-063646.21E-063650.0000069653667.81E-063678.77E-063689.84E-063691.10E-053700.000012393711.39E-053721.56E-053731.74E-053741.96E-053750.000022023762.48E-053772.80E-053783.15E-053793.52E-053800.0000390.00023814.28E-050.000228213824.69E-050.000261093835.16E-050.000299363845.72E-050.000343873850.0000640.000395563867.23E-050.000455443878.22E-050.000524623889.35E-050.000604283890.0001061360.000695653900.000120.00083910.0001349840.000916353920.0001514920.00104773930.0001702080.00119553940.0001918160.00136113950.0002170.00154573960.0002469070.00175083970.000281240.00187763980.000318520.00222733990.0003572670.00250114000.0003960.00284010.0004337150.00311594020.0004730240.00345764030.0005178760.00382684040.0005722190.00422564050.000640.00465624060.000724560.00512164070.00082550.00562484080.000941160.00616954090.001069880.00675974100.001210.00744110.0013620910.00814514120.0015307520.00895554130.0017203680.00983224140.0019353230.0107744150.002180.0117794160.00245480.0128424170.0027640.0139564180.00311780.0151114190.00352640.0162974200.0040.01754210.004546240.0185824220.005159320.0196454230.005829280.0206834240.006546160.0216944250.00730.0226784260.0080865070.0236364270.008908720.0245724280.009767680.025494290.010664430.0263974300.01160.02734310.012573170.0283354320.013582720.0293834330.014629680.0304424340.015715090.031514350.016840.0325844360.018007360.0336614370.019214480.0347354380.020453920.0358034390.021718240.036864400.0230.03794410.024294610.0388384420.025610240.0397524430.026958570.0406464440.028351250.0415244450.02980.0423914460.031310830.0432524470.032883680.0441164480.034521120.044994490.036225710.0458814500.0380.04684510.039846670.0477434520.0417680.0487334530.0437660.0497854540.045842670.050914550.0480.0521224560.050243680.0534354570.052573040.0548644580.054980560.0564244590.057458720.0581314600.06...

1、当您付费下载文档后,您只拥有了使用权限,并不意味着购买了版权,文档只能用于自身使用,不得用于其他商业用途(如 [转卖]进行直接盈利或[编辑后售卖]进行间接盈利)。
2、本站所有内容均由合作方或网友上传,本站不对文档的完整性、权威性及其观点立场正确性做任何保证或承诺!文档内容仅供研究参考,付费前请自行鉴别。
3、如文档内容存在违规,或者侵犯商业秘密、侵犯著作权等,请点击“违规举报”。

碎片内容

人眼视觉函数1924和修改版

小辰5+ 关注
实名认证
内容提供者

出售各种资料和文档

相关文档

确认删除?
VIP
微信客服
  • 扫码咨询
会员Q群
  • 会员专属群点击这里加入QQ群
客服邮箱
回到顶部