电脑桌面
添加小米粒文库到电脑桌面
安装后可以在桌面快捷访问

关于核对2011年下半年全国大学英语四六级考试报名信息的通知(1)VIP免费

关于核对2011年下半年全国大学英语四六级考试报名信息的通知(1)_第1页
1/24
关于核对2011年下半年全国大学英语四六级考试报名信息的通知(1)_第2页
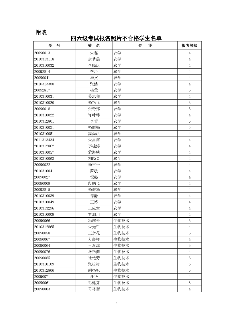
2/24
关于核对2011年下半年全国大学英语四六级考试报名信息的通知(1)_第3页
3/24
关于核对2011年下半年英语四、六级考试报名信息的通知教通[2011]65号各学院:2011年下半年全国大学英语四、六级考试报名工作已结束,现将组织学生核对报名信息的有关要求通知如下:一、已报名参加本次考试的同学须于10月12—14日登录教务管理网站,点击“英语等级考试信息核对”后输入本人学号,按“确认”键后即可弹出报名信息,请务必仔细核对。经核对发现报名信息有误的同学,须于10月14日17:00之前到教务处综合科更正。逾期不核对或不更改者,责任自负。二、经四六级考试报名系统筛选,有近千名同学的照片不合格(详见附表),相关同学务必于10月25日之前到教务处综合科补交照片(要求:蓝色背景数码证件照,图象大小为200×150[高×宽],JPG格式,用自己的学号命名的电子版照片)也可发送邮件到lixiaoying@ynau.edu.cn邮箱。三、按照国家考试中心和云南省招生考试院的有关规定,报名信息有误的同学将不得参加考试,所交报名费也不退还本人。请通知已报名并交费的同学,认真做好核对工作,以避免不必要的麻烦。教务处二〇一一年十月十二日1附表四六级考试报名照片不合格学生名单学号姓名专业报考等级20090013朱磊农学42010313118余梦晨农学42010310032李晓庆农学420092814李浍农学420090041毕文农学42010313388张浩农学420092817杨莹农学62010310031姜志和农学42010310020杨艳飞农学620090018张奇邦农学62010310022许叶韩农学42010312861李哲农学62010310021杨丽梅农学62010310051高尚洪农学42011313434朱昌柯农学42010312862李桂涛农学42010310057蒙海铁农学42010310063刘晓英农学420090022杨吉平农学42010310041罗敏农学420090027倪懿农学420090009段鹏飞农学420092815杨群擎农学42010310039谭静农学42010310049王博农学42010313296王应章农学42010310009罗泗川农学420090066冯琬云生物技术62010312865朱光哲生物技术420090058王余花生物技术620090067方彭祥生物技术420090064王双琼生物技术620090076马艳茹生物技术420090085徐艳芳生物技术62010310109张松梅生物技术62010312866胡扬帆生物技术620090071汪华生物技术420090061毛建芬生物技术620090063司马衡生物技术4220090087吴冬梅生物技术420090072唐辉美生物技术620090060李凌云生物技术420090077张安全生物技术420090112李丽娟中草药栽培与鉴定62010312867张元欣中草药栽培与鉴定420090120宋雅微中草药栽培与鉴定420092772张高菊中草药栽培与鉴定620090097王桥中草药栽培与鉴定42010312868魏宗居中草药栽培与鉴定620090106杨涛中草药栽培与鉴定420090108何俊杰中草药栽培与鉴定420090114俞正坤中草药栽培与鉴定420090103者存招中草药栽培与鉴定420090100江樊中草药栽培与鉴定420090092宛玉祥中草药栽培与鉴定420090141吴佳泓种子科学与工程620090133孔维乾种子科学与工程420090160徐章勇种子科学与工程420090143郑健仓种子科学与工程420090142李振兴种子科学与工程420090146陈红丽种子科学与工程420080177焦娇种子科学与工程420080130张瑞娟种子科学与工程420080161李明杰种子科学与工程420080169和银剑种子科学与工程420080136王国斌种子科学与工程420080154缪湘种子科学与工程620080140段国华种子科学与工程420080153李祥瑞种子科学与工程420080167唐刚永种子科学与工程420080158董良种子科学与工程420080160李圆种子科学与工程420080148杨燕飞种子科学与工程42011313436李家伟种子科学与工程42010310173李艳云种子科学与工程42010312872亢世杰种子科学与工程420090138吕爱丽种子科学与工程620092774徐阿梅种子科学与工程620090169李炳良种子科学与工程420090150吴智峰种子科学与工程420090151赵锦龙种子科学与工程632009310035屈直会农学(专升本)42008310227杨祝颖农学(专升本)42009310195刘锦农学(专升本)42009310198梁丹慧农学(专升本)42009310191和云峰农学(专升本)42009310040唐军农学(专升本)42008310059刘华萍农学(专升本)42008310069王丽娜农学(专升本)42008310214李绍林农学(专升本)42009310031徐腾超农学(专升本)42008310026李国芳农学(专升本)42008310067杨晓婷农学(专升本)42009...

1、当您付费下载文档后,您只拥有了使用权限,并不意味着购买了版权,文档只能用于自身使用,不得用于其他商业用途(如 [转卖]进行直接盈利或[编辑后售卖]进行间接盈利)。
2、本站所有内容均由合作方或网友上传,本站不对文档的完整性、权威性及其观点立场正确性做任何保证或承诺!文档内容仅供研究参考,付费前请自行鉴别。
3、如文档内容存在违规,或者侵犯商业秘密、侵犯著作权等,请点击“违规举报”。

碎片内容

关于核对2011年下半年全国大学英语四六级考试报名信息的通知(1)

您可能关注的文档

文章天下+ 关注
实名认证
内容提供者

各种文档应有尽有

确认删除?
VIP
微信客服
  • 扫码咨询
会员Q群
  • 会员专属群点击这里加入QQ群
客服邮箱
回到顶部