电脑桌面
添加小米粒文库到电脑桌面
安装后可以在桌面快捷访问

浙教版数学八年级下册二次根式综合能力训练题二及答案

浙教版数学八年级下册二次根式综合能力训练题二及答案_第1页
1/6
浙教版数学八年级下册二次根式综合能力训练题二及答案_第2页
2/6
浙教版数学八年级下册二次根式综合能力训练题二及答案_第3页
3/6
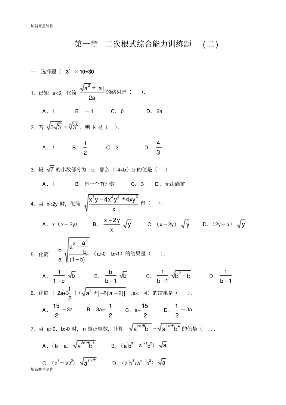
灿若寒星制作灿若寒星制作第一章二次根式综合能力训练题( 二) 一、选择题(3′ ×10=30′)1.已知 a<0,化简2||2aaa的结果是().A .1 B.- 1 C. 0 D. 2a 2.若43 33k ,则 k 是().A .1 B. 12C.3 D. 433.设7 的小数部分为b,那么( 4+b)b 的值是().A .1 B.是一个有理数C. 3 D.无法确定4.当 x<2y 时,化简322344x yx yxyx得().A .x( x-2y)B.2xyxyC.(x-2y)yD.(2y- x)y5.化简: ba222(1)aabb(a>0, b>1)的结果是().A .11bbB.1bbbC.11b2bbD.11b6.化简 │ 2a+312│+2[ 8(2)]aa(a<-4)的结果是().A . 152-3a B. 3a- 12C.a+ 152D. 12- 3a 7.当 a>0,b>0 时, n 是正整数,计算216234nnabab的值是().A .(b-a)214nabB.(anb3-an+1b2)aC.(b3- ab2)21naD.(anb3+an+1b2)a灿若寒星制作灿若寒星制作P(3,4)43yxO8.若 x<1 ,且 y=2(1)1xx+3,则 y3y ÷1y× 1y的值是().A . 133B. 43C.163D.6439.52 2 ·52 2 的积为().A .1 B.17 C.17D.2110.当 x<0 时,化简 │ x│+221xx的结果是().A .- 1 B.1 C.1-2x D.2x-1 二、填空题(3′ ×10=30′)11.如图 P(3,4)是直角坐标系中一点,则 P 到原点的距离是______.12.化简254 =______,0.01 0.49 =______.13.已知等腰三角形ABC 的面积是 5,底边上的高AD 是5 ,则它的周长为______.14.已知 a=3 -2 ,b=3 +2 ,求 a2+b2 的值为 ______.15.已知232.5625 =15.25,则2325625 =_______.已知0.236 =0.4858 ,那么2360 =_______.16.计算(- 2)2-2-18 +(1-2 )0+121=____.已知 x=3 +1,则221 2xxx=______.17.(3 - 1.733)2 的算术平方根是_______.18.若 │ a+4│+(b-2)2=0,则6ab=_____.19.已知3 1.993 =1.2584,3 19.93 =2.711,则3 1993 =_____,30.01993 =______.灿若寒星制作灿若寒星制作20.对于实数x,若有 x+│ x│ =0,则 x 是______.三、解答题(共60′)21.( 2× 5′=10′)(1)一个圆柱形水池深1.4 米,它能装 80 吨水,则水池底面半径约是多少米(?精确到0.1 米)?(2)已知 0< 32a

1、当您付费下载文档后,您只拥有了使用权限,并不意味着购买了版权,文档只能用于自身使用,不得用于其他商业用途(如 [转卖]进行直接盈利或[编辑后售卖]进行间接盈利)。
2、本站所有内容均由合作方或网友上传,本站不对文档的完整性、权威性及其观点立场正确性做任何保证或承诺!文档内容仅供研究参考,付费前请自行鉴别。
3、如文档内容存在违规,或者侵犯商业秘密、侵犯著作权等,请点击“违规举报”。

碎片内容

浙教版数学八年级下册二次根式综合能力训练题二及答案

文库响当当+ 关注
实名认证
内容提供者

该用户很懒,什么也没介绍

相关文档

确认删除?
微信客服
  • 扫码咨询
会员Q群
  • 会员专属群点击这里加入QQ群