电脑桌面
添加小米粒文库到电脑桌面
安装后可以在桌面快捷访问

人教版初一数学上册计算题及练习题

人教版初一数学上册计算题及练习题_第1页
1/39
人教版初一数学上册计算题及练习题_第2页
2/39
人教版初一数学上册计算题及练习题_第3页
3/39
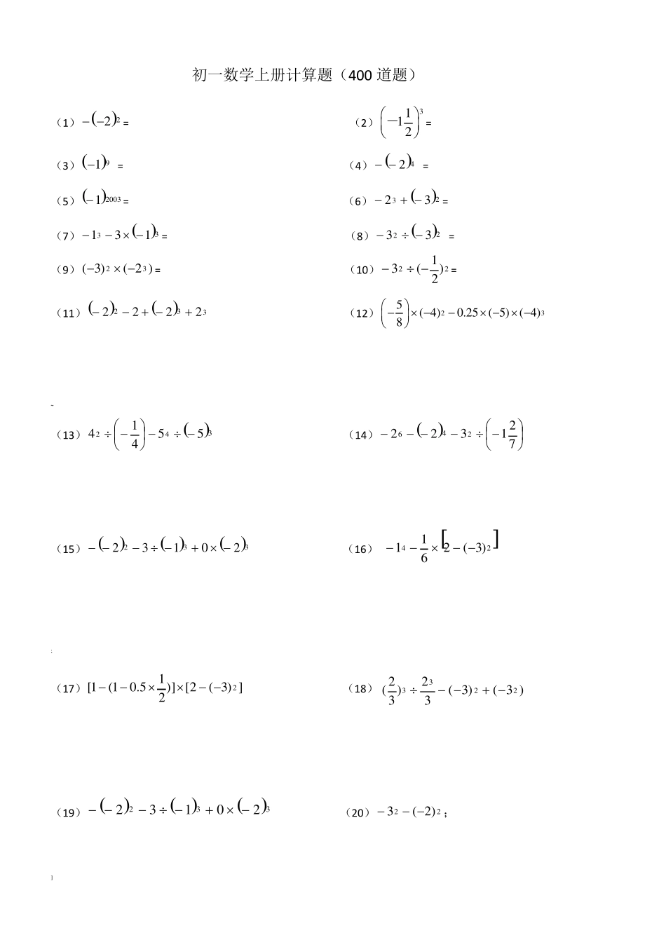
初一数学上册计算题(400 道题) (1) 22 = (2)3112-= (3) 91 = (4) 42 = (5) 20031= (6)2332= (7) 33131= (8)2233 = (9))2()3(32= (10)22)21(3= (11)3322222 (12)235( 4)0.25 ( 5)( 4)8    ~ (13)34255414 (14)721322246 (15)  33220132 (16) 24)3(2611 ; (17)])3(2[)]215.01(1[2 (18) (19) 33220132 (20)22)2(3; ] 332222( )( 3)( 3 )33   (21)]2)33()4[()10(222; (22)])2(2[31)5.01()1(24; (23)94)211(42415.0322; (24)20022003)2()2(; 】 (25))2()3(]2)4[(3)2(223; (26)200420094)25.0(. (27) 0 252423132.   (28)   221410222 * (29)       3120313312232325.. (30)      2 12052832. (31) (32)(56)(79) . (33)( 3)( 9)( 8)( 5)    (34) 3515()26  33182( 4)8  (35)5231591736342 (36)  22431)4(2 \ (37)411)8()54()4()125.0(25 (38)如果0)2(12 ba,求 20112010()-3ababaa()的值 * (39)已知|1|a 与|4 |b 互为相反数,求ba 的值。 ] (40)2234.0)2.1()211(922 (41)12111110|11101211| (42)5]36)65121197(45[ (43) )41()35(12575)125(72 , (44))32()87()12787431( (45)4131211 (46) 12131 (47) 22128( 2)2   ! (48) 1564358 (49))4955.5(1416.34955.61416.3 ~ (50)100 22 23)2(32...

1、当您付费下载文档后,您只拥有了使用权限,并不意味着购买了版权,文档只能用于自身使用,不得用于其他商业用途(如 [转卖]进行直接盈利或[编辑后售卖]进行间接盈利)。
2、本站所有内容均由合作方或网友上传,本站不对文档的完整性、权威性及其观点立场正确性做任何保证或承诺!文档内容仅供研究参考,付费前请自行鉴别。
3、如文档内容存在违规,或者侵犯商业秘密、侵犯著作权等,请点击“违规举报”。

碎片内容

人教版初一数学上册计算题及练习题

您可能关注的文档

确认删除?
VIP
微信客服
  • 扫码咨询
会员Q群
  • 会员专属群点击这里加入QQ群
客服邮箱
回到顶部