电脑桌面
添加小米粒文库到电脑桌面
安装后可以在桌面快捷访问

初中数学计算题200道

初中数学计算题200道_第1页
1/13
初中数学计算题200道_第2页
2/13
初中数学计算题200道_第3页
3/13
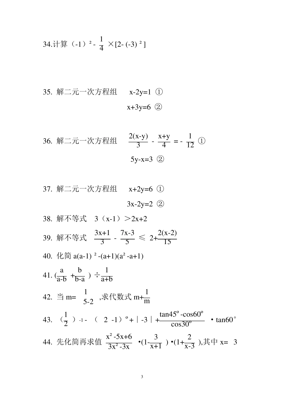
1 计算题 c l 1. 3 3 +(π+3)º-3 27 +∣3 -2∣ 2. 5x +2x ²+x = 3x +1 3. 3-xx -4 + 14-x =1 4. x ²-5x =0 5. x ²-x -1=0 6. 化简 23 9x +6 x4 -2x1x 7. 因式分解x 4-8x ²y ²+16y 4 8. 22x +1 + 12x -1 =54x ²-1 9. 因式分解(2x +y )²-(x +2y ) ² 10. 因式分解 -8a²b+2a³+8ab² 11. 因式分解 a4-16 12. 因式分解 3ax ²-6ax y +8ab² 13. 先化简,再带入求值(x +2)(x -1)-x ²-2x +1x -1 ,x = 3 14. ( - 3 )º-∣-3∣+(-1)2015+(12 )-1 15. ( 1a-1 - 1a²-1 )÷a²-aa²-1 16. 2(a+1) ²+(a+1)(1-2a) 2 17. (2x-1x+1 -x+1) ÷x-2x²+2x+1 18. (-3-1) ×(- 32 )²-2-1÷(- 12 )³ 19. 12x-1 =243-21x 20. (x+1) ²-(x+2)(x-2) 21. sin60°-∣1- 3 ∣+(12 )-1 22.(-5)16×(-2)15 (结果以幂的形式表示) 23. 若 n 为正整数且(m n)²=9,求(13 m3n)³(m²)2n 24. 因式分解 a²+ac-ab-bc 25. 因式分解 x²-5x+6 26. 因式分解(x+2)(x+3)+x²-4 27. 因式分解(a²+1) ²-4a² 28. -12016+18÷ (-3) ×∣-12 ∣ 29. 先化简,再求值 3(x²+xy-1)-(3x²-2xy),其中 x=1,y= - 15 30. 计算 3-4+5-(-6)-7 31. 计算-1²+(-4) ²×∣-18 ∣-8²÷(-4) ³ 32.计算 20-(-7)-∣-2∣ 33.计算(13 - 59 +1112 )×(-36) 3 34.计算(-1)²- 14 ×[2- (-3) ²] 35. 解二元一次方程组 x -2y =1 ① x +3y =6 ② 36. 解二元一次方程组 2(x -y )3 - x +y4 = - 112 ① 5y -x =3 ② 37. 解二元一次方程组 x +2y =6 ① 3x -2y =2 ② 38. 解不等式 3(x -1)>2x +2 39. 解不等式 3x +13 - 7x -35 ≤ 2+2(x -2)15 40. 化简a(a-1) ²-(a+1)(a²-a+1) 41. ( aa-b + bb-a ) ÷1a+b 42. 当m=1 5-2 ,求代数式m+ 1m 43. (12 )-1 - (2 -1)º+∣-3∣+tan45º-cos60ºcos30º ·tan60° 44. 先化简再求值 x ²-5x +63x ²-3x ·(1- 3x +1 )·(1+ 2x -3 ),其中 x = 3 4 45. 先化简再求值 x -yy ²-x ² ,其中x =-1,y =2 46. 解方程x ²-3x =0 47. 6- (-2)² ·2-1+(-3.14)º+3 -8 +cos²45° 48. 计算(3 )²+4×(- 12 )-2³ 49. 先化简,再求...

1、当您付费下载文档后,您只拥有了使用权限,并不意味着购买了版权,文档只能用于自身使用,不得用于其他商业用途(如 [转卖]进行直接盈利或[编辑后售卖]进行间接盈利)。
2、本站所有内容均由合作方或网友上传,本站不对文档的完整性、权威性及其观点立场正确性做任何保证或承诺!文档内容仅供研究参考,付费前请自行鉴别。
3、如文档内容存在违规,或者侵犯商业秘密、侵犯著作权等,请点击“违规举报”。

碎片内容

初中数学计算题200道

您可能关注的文档

确认删除?
VIP
微信客服
  • 扫码咨询
会员Q群
  • 会员专属群点击这里加入QQ群
客服邮箱
回到顶部