电脑桌面
添加小米粒文库到电脑桌面
安装后可以在桌面快捷访问

关于无穷级数以及无穷乘积的一些简单知识VIP免费

关于无穷级数以及无穷乘积的一些简单知识_第1页
1/12
关于无穷级数以及无穷乘积的一些简单知识_第2页
2/12
关于无穷级数以及无穷乘积的一些简单知识_第3页
3/12
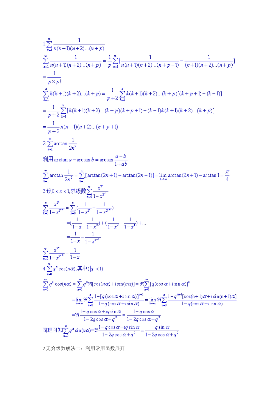
高等数学吧楼主:ygc136441788关于无穷级数以及无穷乘积的计算许多都比较麻烦,现在楼主今天分享一些比较简单的计算方法。至于级数以及乘积的收敛性教材讲解比较多,楼主今天不在重复,今天主要讲解一些计算。一楼几个比较重要的无穷级数以及无穷乘积镇楼。目录:1:无穷级数的一些计算方法裂项法、利用常用函数展开、微分方程、逐项微分与积分、运用留数定理以及一些特殊函数2:无穷乘积的一些计算方法希望大家不要插楼,谢谢。无穷级数解法一:裂项法2无穷级数解法二:利用常用函数展开无穷级数解法三:逐项微分积分这一部分在教材比较多,不做详解。无穷级数解法四:解微分方程无穷级数解法无:留数定理的运用无穷乘积的简单介绍;几个简单的无穷乘积:有理多项式的无穷乘积:今天楼主想说的差不多完了,以上只是楼主一些简单介绍,有错误希望见谅。像往常一样留几个问题。补充一些zeta函数相关的还有一类很相似的There'sonequestionIwanttoask,howtofindtheoriginalequationifthesumofrootsorproductofrootsaregiven?IfounditdifficultwhenItriedtoresloveaninfiniteproductthroughtheconceptofvieta'sformula?forexample,这个问题相当於证明你给的那个四个等式

1、当您付费下载文档后,您只拥有了使用权限,并不意味着购买了版权,文档只能用于自身使用,不得用于其他商业用途(如 [转卖]进行直接盈利或[编辑后售卖]进行间接盈利)。
2、本站所有内容均由合作方或网友上传,本站不对文档的完整性、权威性及其观点立场正确性做任何保证或承诺!文档内容仅供研究参考,付费前请自行鉴别。
3、如文档内容存在违规,或者侵犯商业秘密、侵犯著作权等,请点击“违规举报”。

碎片内容

关于无穷级数以及无穷乘积的一些简单知识

文章天下+ 关注
实名认证
内容提供者

各种文档应有尽有

确认删除?
VIP
微信客服
  • 扫码咨询
会员Q群
  • 会员专属群点击这里加入QQ群
客服邮箱
回到顶部