电脑桌面
添加小米粒文库到电脑桌面
安装后可以在桌面快捷访问

化工机械基础(第二版)课后答案陈国桓主编

化工机械基础(第二版)课后答案陈国桓主编_第1页
1/9
化工机械基础(第二版)课后答案陈国桓主编_第2页
2/9
化工机械基础(第二版)课后答案陈国桓主编_第3页
3/9
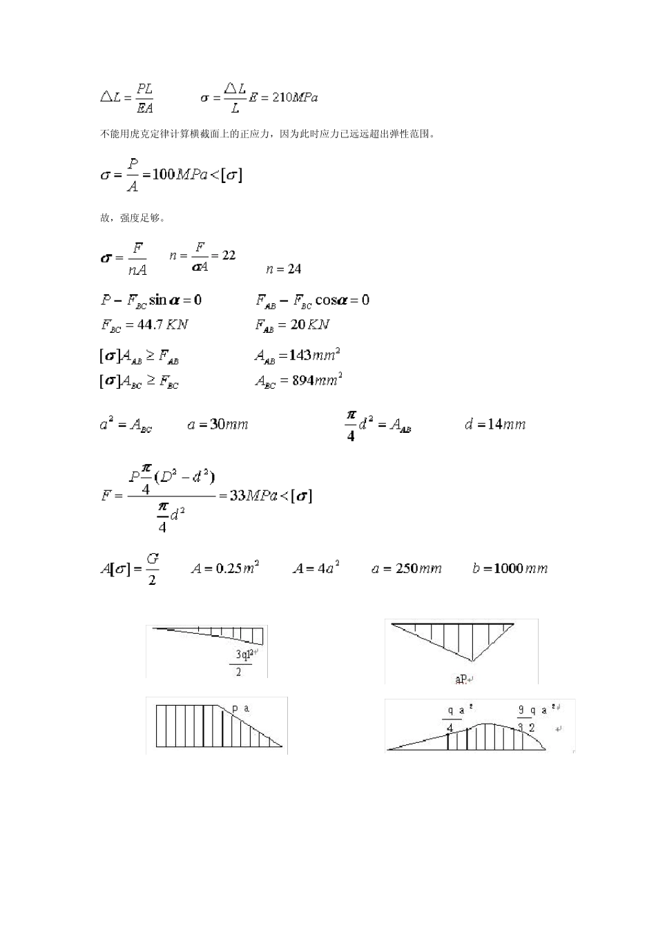
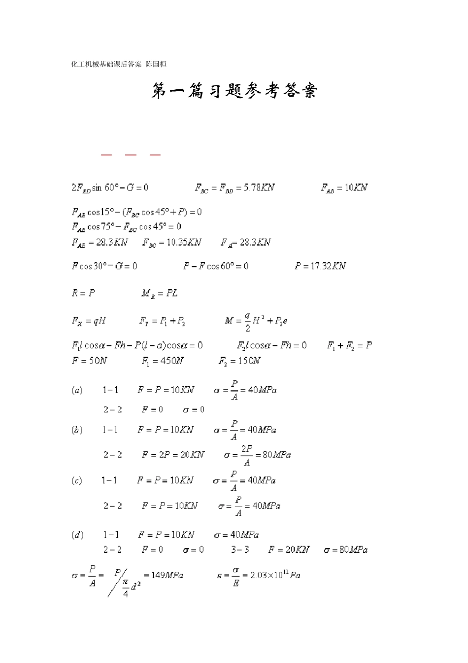
化工机械基础课后答案 陈国桓 第一篇习题参考答案 [1] [2] [3] [4] 1. 2. 3. 4. 5. 6. 7. 8. 9. 不能用虎克定律计算横截面上的正应力,因为此时应力已远远超出弹性范围。 10. 故,强度足够。 11. 12. 13. 14. 15. (a) (b) (c) (d) (e) (f) (g) (h) (i) (j) (k) (l) (m) (n) 16. 17. 18. 19. 所以,强度不够 20. 21. 22. 抗剪:抗挤: 23. 习题参考答案 24. 销钉所受的的最大剪应力为: MPa 销钉所受的的最大挤压应力为: MPa 25. 26. 强度足够 27. 轴的外径: 强度足够 28. 强度足够 29. 计算主应力和方向的公式为: 将(a)(b)(c)各题带入得: (a) (b) (c) 习题参考答案 30. 主应力为: MPa MPa 受主应力作用的单元体如下图中的蓝色线条所表示的: 31. A点受弯矩和力的组合作用 其中,, , 代入上式得: 32. 本题为拉扭组合 最大剪应力在圆轴的外圆周上: 最大的拉应力作用在轴的上下边缘处: 第三强度理论: 33. 第三强度理论: 第四强度理论: 34. 所以,千斤顶稳定 35. 需用的最大压力为:

1、当您付费下载文档后,您只拥有了使用权限,并不意味着购买了版权,文档只能用于自身使用,不得用于其他商业用途(如 [转卖]进行直接盈利或[编辑后售卖]进行间接盈利)。
2、本站所有内容均由合作方或网友上传,本站不对文档的完整性、权威性及其观点立场正确性做任何保证或承诺!文档内容仅供研究参考,付费前请自行鉴别。
3、如文档内容存在违规,或者侵犯商业秘密、侵犯著作权等,请点击“违规举报”。

碎片内容

化工机械基础(第二版)课后答案陈国桓主编

确认删除?
VIP
微信客服
  • 扫码咨询
会员Q群
  • 会员专属群点击这里加入QQ群
客服邮箱
回到顶部