电脑桌面
添加小米粒文库到电脑桌面
安装后可以在桌面快捷访问

大学物理公式总结

大学物理公式总结_第1页
1/33
大学物理公式总结_第2页
2/33
大学物理公式总结_第3页
3/33
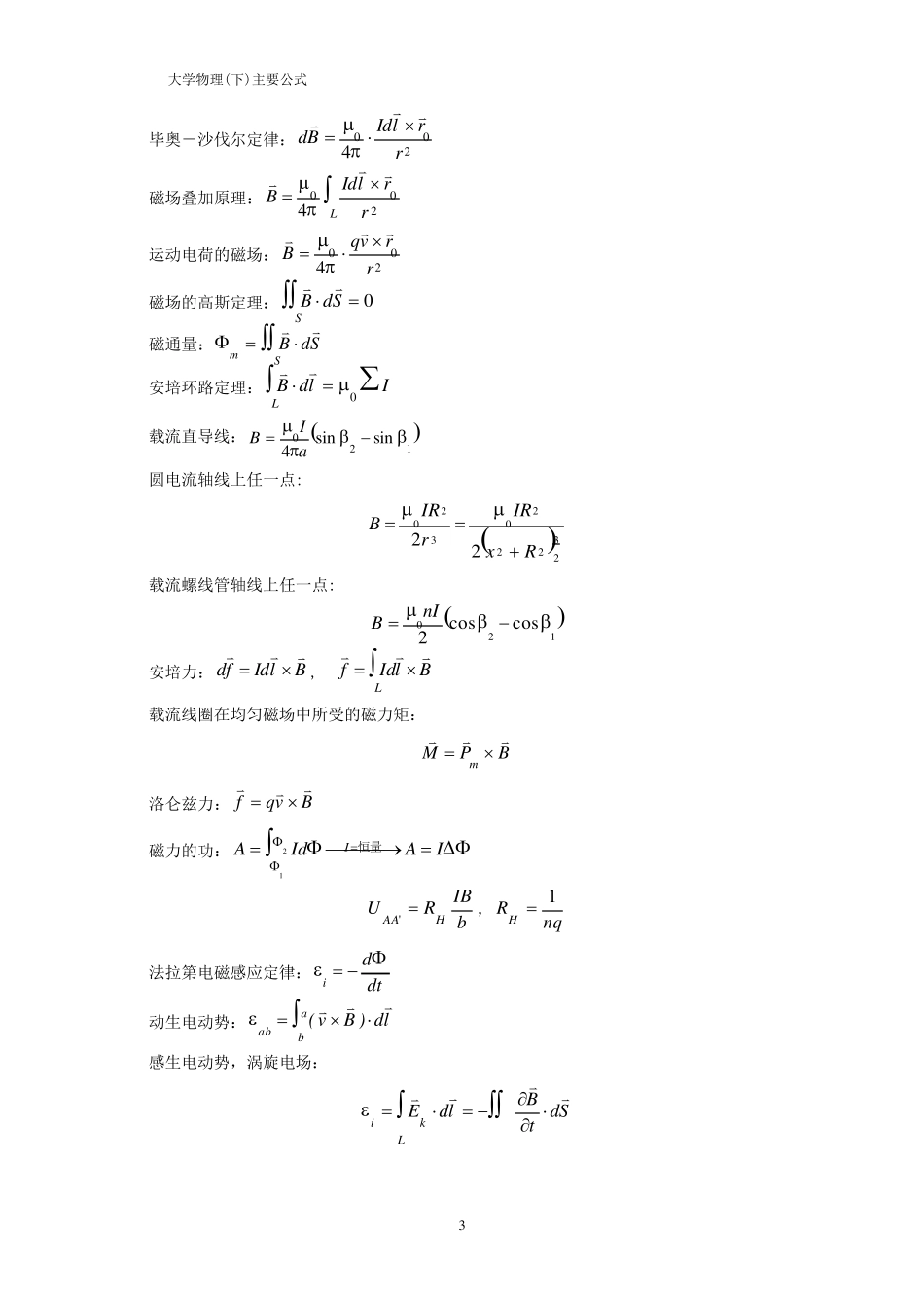
大学物理(下)主要公式 1 大学物理上公式 定律和定理 1.矢量叠加原理:任意一矢量A可看成其独立的分量iA的和。即:A=ΣiA(把式中A换成r、V、a、F、E、B就分别成了位置、速度、加速度、力、电场强度和磁感应强度的叠加原理)。 2.牛顿定律:F=ma (或F= dtpd );牛顿第三定律:F′= F;万有引力定律:rrMmGFˆ2 动量定理:pI→动量守恒:0 p条件 0外F 1.位置矢量:r,其在直角坐标系中:kzjyixr;222zyxr角位置:θ 2.速度: dtrdV平均速度:trV 速率: dtdsV (VV)角速度: dtd  角速度与速度的关系:V=rω 3.加速度: dtVda 或22dtrda  平均加速度:tVa 角加速度: dtd  在自然坐标系中naaan其中dtdVa(=rβ),rVna2(=r2 ω) 4.力:F=ma (或F= dtpd ) 力矩:FrM(大小:M=rFcosθ方向:右手螺旋法则) 5.动量:Vmp ,角动量:VmrL(大小:L=rmvcosθ方向:右手螺旋法则) 6.冲量:dtFI(= FΔt);功:rdFA(气体对外做功:A=∫PdV) 7.动能:mV2/2 8.势能:A保= – ΔEp 不同相互作用力势能形式不同且零点选择不同其形式不同,在默认势能零点的情况下: 机械能:E=EK+EP 9.热量:CRTMQ其中:摩尔热容量C与过程有关,等容热容量Cv 与等压热容量Cp 之间的关系为:Cp= Cv+R 10. 压强:ntSISFP32 11. 分子平均平动能: kT23;理想气体内能:RTsrtME)2(2  12. 麦克斯韦速率分布函数:NdVdNVf)((意义:在V 附近单位速度间隔内的分子数所占比率) mg(重力) → mgh -kx(弹性力) → kx 2/2 F= rrMmGˆ2 (万有引力) →rMmG =Ep rrQqˆ420(静电力) →rQq04 大学物理(下)主要公式 2 13. 平均速率:RTNdNdVVVfVV80)( 方均根速率:RTV22 ;最可几速率:RTpV3 14. 熵:S=Kln Ω(Ω为热力学几率,即:一种宏观态包含的微观态数) 电场强度:E= F/q 0 (对点电荷:rrqEˆ420) 大学物理(下)主要公式 3 毕奥-沙伐尔定律:2004rrlIdBd  磁场叠加原理: LrrlIdB2004 运动电荷的磁场:20...

1、当您付费下载文档后,您只拥有了使用权限,并不意味着购买了版权,文档只能用于自身使用,不得用于其他商业用途(如 [转卖]进行直接盈利或[编辑后售卖]进行间接盈利)。
2、本站所有内容均由合作方或网友上传,本站不对文档的完整性、权威性及其观点立场正确性做任何保证或承诺!文档内容仅供研究参考,付费前请自行鉴别。
3、如文档内容存在违规,或者侵犯商业秘密、侵犯著作权等,请点击“违规举报”。

碎片内容

大学物理公式总结

小辰6+ 关注
实名认证
内容提供者

出售各种资料和文档

确认删除?
VIP
微信客服
  • 扫码咨询
会员Q群
  • 会员专属群点击这里加入QQ群
客服邮箱
回到顶部