电脑桌面
添加小米粒文库到电脑桌面
安装后可以在桌面快捷访问

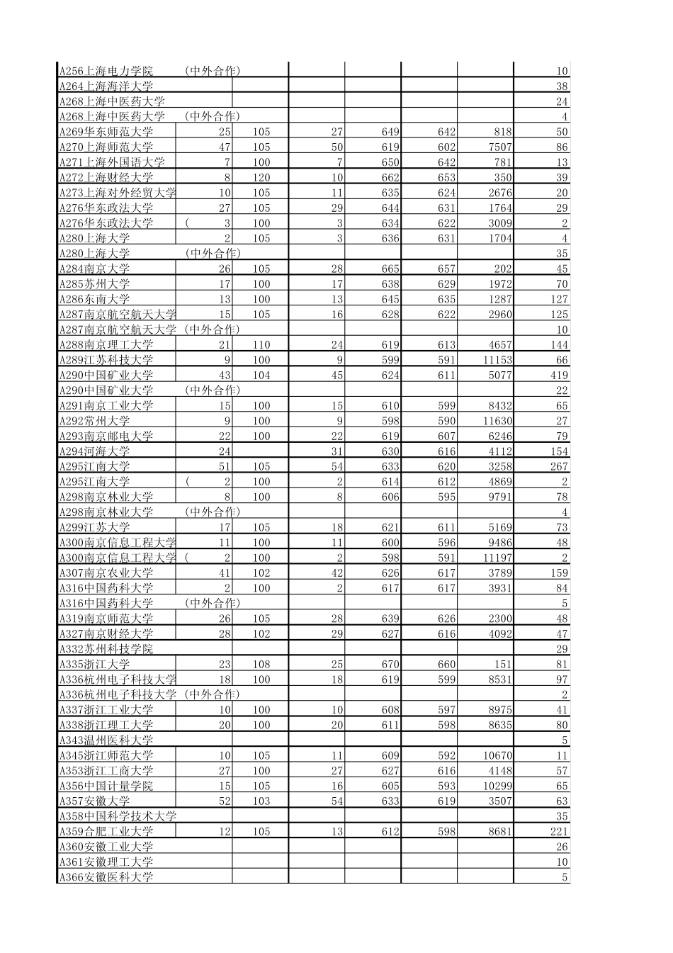
山东省2014年本科一批第一次填报志愿院校投档情况统计表

山东省2014年本科一批第一次填报志愿院校投档情况统计表_第1页
1/14
山东省2014年本科一批第一次填报志愿院校投档情况统计表_第2页
2/14
山东省2014年本科一批第一次填报志愿院校投档情况统计表_第3页
3/14
计划数投档比例投出数最高分最低分最低位次计划数A001北京大学 22#226956743222A002中国人民大学 31115366796649931A003清华大学 410046856801770A004北京交通大学 611076436381061102A005北京工业大学 21103618613470718A005北京工业大学 (中外合作)13A006北京航空航天大学 813011649644703125A007北京理工大学 910096416361233105A007北京理工大学 (专业志愿)8A008北京科技大学 19100196456301836137A009北方工业大学 1011011613600807550A010北京化工大学 13115156296193478112A010北京化工大学 (专业志愿)10A011北京工商大学 1011011632619346154A011北京工商大学 (中外合作)5A012北京服装学院 11A013北京邮电大学 812010633628202589A016北京建筑大学 19A016北京建筑大学 (中外合作)2A019中国农业大学 1111013642633155178A019中国农业大学 (61208623608579610A019中国农业大学 (12010012062458513402180A020北京农学院 16A022北京林业大学 13100136326272271109A025首都医科大学 33A026北京中医药大学 61057642630186536A028首都师范大学 1012012627624272022A030北京外国语大学 11100116636485206A030北京外国语大学 (中外合作)4A031北京第二外国语学院1110011641626235117A032北京语言大学 1210513642629201415A033中国传媒大学 141051565664374525A034中央财经大学 181112067064945249A034中央财经大学 (专业志愿)10A036对外经济贸易大学 291002966365334832A038首都经济贸易大学 61006626624267522A043北京体育大学 1410014628606631626A052中央民族大学 2110021644631173137A053中国政法大学 431014466164661936A054华北电力大学(北京)1111013638625249773A055南开大学 341103866565526967A056天津大学 812010646639988106A059中国民航大学 10100106146056604206A060天津理工大学 69A062天津医科大学 36A063天津中医药大学 21A068天津外国语大学 3310033648618364723A070天津财经大学 2410024636623277332A079华北电力大学(保定)61208621615416975A080河北工业大学 1010010611601781367院校文科批次:2本科一批A080河北工业大学 (专业志愿)8A089河北医科大学 5A107石家庄铁道大学 131051461158812108102A108山西大学 11110136055901159645A110中北大学 191052059958912013196A112太原理工大学 18100186136027490117A114山西医科大学 3A125山西财经大学 5810260617597922161A126...

1、当您付费下载文档后,您只拥有了使用权限,并不意味着购买了版权,文档只能用于自身使用,不得用于其他商业用途(如 [转卖]进行直接盈利或[编辑后售卖]进行间接盈利)。
2、本站所有内容均由合作方或网友上传,本站不对文档的完整性、权威性及其观点立场正确性做任何保证或承诺!文档内容仅供研究参考,付费前请自行鉴别。
3、如文档内容存在违规,或者侵犯商业秘密、侵犯著作权等,请点击“违规举报”。

碎片内容

山东省2014年本科一批第一次填报志愿院校投档情况统计表

您可能关注的文档

小辰3+ 关注
实名认证
内容提供者

出售各种资料和文档

确认删除?
VIP
微信客服
  • 扫码咨询
会员Q群
  • 会员专属群点击这里加入QQ群
客服邮箱
回到顶部